Consonâncias Planetárias (II)

Apresentação e Fundamentação da “Terceira Lei” do Movimento Planetário no Livro V do Harmonices Mundi (1619) de Johannes Kepler (1571 – 1630)
Renato Casemiro
Pontifícia Universidade Católica de São Paulo – PUC – SP
Mestrado em História da Ciência
δ
As “condições” para a compreensão da harmonia celestial
Tomamos a liberdade de chamar de “condição” à forma pela qual Kepler revisa alguns pontos teoria astronômica para fundamentar a harmonia celestial. Por se tratar de um resumo, Kepler apresenta essas condições de forma ordenada, e acreditamos que o esteja fazendo da condição mais básica – a que os planetas giram ao redor do sol (primeira condição) – à mais complexa – a relação entre as proporções das distâncias entre dois planetas e o Sol em relação a proporção de seus movimentos aparentes (décima terceira condição). Interessante notar que este resumo não traz somente uma compilação de informações já conhecidas entre os estudiosos: Kepler escolheu o resumo também para apresentar suas novas conclusões, que se dão a partir da oitava condição (“terceira lei” do movimento planetário) até a décima terceira. Isso nos leva a crer que Kepler, ao mesmo tempo em que não dá, em seu texto, um destaque especial à “terceira lei”, já a tem, em sua lógica, como condição fundamental para a compreensão da teoria astronômica.

Vejamos as condições:
1ª) A primeira condição trata da aceitação incondicional de que os planetas, inclusive a Terra, giram ao redor do Sol. O modelo heliocêntrico sempre foi a base da cosmologia kepleriana. Só pela hipótese copernicana que a interpolação dos sólidos regulares entre as esferas celestes é justificável, portanto, Kepler prefere Copérnico à Brahe;
2ª) A segunda condição diz respeito à excentricidade das órbitas, isto é, que os planetas ao longo de sua trajetória anual, aproximam-se e se afastam do Sol. Kepler faz uso de uma ilustração para demonstrar essas variações de posição. Nota-se na ilustração a indicação para a disposição dos sólidos regulares entre os planetas.
“No diagrama, três círculos foram construídos para cada um dos planetas. Nenhum deles indica a verdadeira rota excêntrica do planeta, mas de fato o do meio, como por exemplo, o BE no caso de Marte, é equivalente à órbita excêntrica, a respeito do seu maior diâmetro; mas a órbita verdadeira, no caso AD, toca o círculo superior, AF, no lado A, e o círculo inferior CD no lado oposto, em D. O círculo pontilhado GHdesenhado passando pelo centro do Sol, indica a trajetória do Sol de acordo com Tycho Brahe. Se o Sol se move neste trajeto, todos os pontos do sistema planetário aqui representado procedem num caminho equivalente, cada um em sua própria rota. (…) Devido ao pouco espaço entre os três círculos de Vênus, os mesmos acabaram por se juntar em um só, contrário à minha intenção”.
3ª) Na terceira condição, Kepler relembra as suas conclusões publicadas no Mysterium Cosmographicum, “de que o número de planetas, ou o número de órbitas em torno do Sol foi tirado, pelo mais sábio Criador, dos cinco sólidos regulares”. Kepler aproveita para dar os créditos a Euclides, o geômetra que descreveu a construção dos mesmos;
4ª) Na quarta condição, Kepler admite que somente a intercalação dos sólidos regulares nas órbitas planetárias, como se elas fossem as esferas inscritas e circunscritas de cada sólido, não gera a proporção ideal que justifique os dados astronômicos empíricos. Kepler relata uma série de considerações sobre esse fato, como por exemplo, “se os vértices do tetraedro forem posicionados no círculo interno de Júpiter, os centros das faces do tetraedro quase tocam o círculo externo de Marte”.
Mas, como o “Criador não se afasta do seu próprio arquétipo”, Kepler apresenta uma nova hipótese a priori que justificaria a manutenção da intercalação dos sólidos regulares:
“pelo fato de que os planetas mudam seus intervalos (velocidades) ao longo de períodos de tempo definidos, de tal forma que cada um deles tem duas distâncias distintas do Sol, a maior (afélio) e a menor (periélio), e que a comparação das distâncias a partir do Sol entre dois pares de planetas é possível de quatro formas (afélio-afélio, afélio-periélio, periélio-afélio, periélio-periélio). Assim, as comparações par a par de planetas vizinhos são vinte ao todo, considerando que, por outro lado, há apenas cinco sólidos regulares. Entretanto, é apropriado que o Criador, que se preocupou com a proporção das órbitas como um todo, também se preocupou em particular com a proporção entre as variadas distâncias das órbitas individuais, e a atenção deve ser a mesma em cada caso, e esta deve estar ligada à oura. Sobre cuidadosa consideração, devemos claramente obter a seguinte conclusão, que para estabelecer tanto os diâmetros como os excêntricos das órbitas em conjunção, são necessários mais princípios básicos em complemento aos cinco sólidos regulares”.
5ª) A quinta condição trata dos movimentos reais dos planetas, já discutidos anteriormente no Astronomia Novae, ou como se refere à obra o autor no texto original, Commentarius de stella Martis. Chamamos a atenção para os axiomas 1 e 4, em que Kepler declara que o Sol é a fonte do movimento dos planetas, e 3 e 4 (novamente), nos quais Kepler refere-se ao que é conhecido atualmente como “1ª lei de Kepler ou Lei das Órbitas”, isto é, que a órbita descrita pelos planetas ao redor do Sol é elíptica, com o Sol ocupando um dos focos da mesma. A base para todos os axiomas é descrita separadamente: “os arcos diários são iguais se tomados sobre o mesmo excêntrico, não são atravessados com a mesma velocidade”, e é completada pelas seguintes conclusões:
1. “mas que esses períodos diferenciados despendidos nas partes iguais do excêntrico obedecem à proporção das suas próprias distâncias em relação ao Sol, fonte do movimento;
2. e, por sua vez, que períodos supostamente iguais, digamos, um dia natural em cada caso, os verdadeiros arcos diários correspondentes de uma única órbita excêntrica têm entre si uma proporção que é inversa à proporção de duas vezes a distância do Sol.
3. ao mesmo tempo, entretanto, foi por mim mostrado que a órbita do planeta é elíptica,
4. e o Sol, a fonte do movimento, está em um dos focos da elipse;
5. e assim, quando o planeta completa, de todo o trajeto, um quadrante com origem no seu afélio, ele está precisamente a meia distância do Sol, entre a sua maior distância do afélio e a menor distância do periélio.
6. Por esses dois axiomas pode-se concluir que o movimento diário médio de um planeta no seu excêntrico, é o mesmo que o movimento diário verdadeiro, naqueles momentos em que o planeta está no final do quadrante do seu excêntrico, considerado como origem o afélio, mesmo que o verdadeiro quadrante continue parecendo menor que o próprio quadrante.
7. Além disso, resulta que quaisquer dois arcos diários verdadeiros do excêntrico, que realmente estão à mesma distância, um no afélio e outro no periélio, quando somados, são iguais a dois arcos diários médios.
8. Em consequência, desde que a proporção dos círculos é a mesma que a proporção dos seus diâmetros, a proporção entre um arco diário médio e a soma de todos os arcos diários médios que formam todo o trajeto e que são iguais, é a mesma entre o arco diário médio e a soma de todos os arcos diários verdadeiros no excêntrico, que são iguais em número, mas diferentes entre eles. É necessário conhecer antecipadamente os arcos diários verdadeiros e os movimentos verdadeiros, para que possamos agora compreender, por meio deles, os movimentos aparentes, como se colocássemos um olho no Sol”.
6ª) Na sexta condição, Kepler comenta que os arcos aparentes, vistos do Sol, parecem ser menores e mais lentos no afélio e maiores e mais rápidos no periélio, para um observador posto no centro do mundo. São apresentados outros seis axiomas, como por exemplo, “que a proporção entre o arco diário aparente de um dado excêntrico é satisfatória e precisamente o quadrado do inverso da proporção das suas distâncias ao Sol”, que os arcos excêntricos não devem ser tão grandes, nem os excêntricos tão achatados.
7ª) A sétima condição retoma a rejeição dos movimentos aparentes dos planetas, como o de retrogração. Como sabemos, esses movimentos são resultados exclusivos do movimento da Terra em torno de seu eixo e ao redor do Sol. Retomar esse tópico é importante porque, como comentam Aiton, Duncan e Field,
“pelo fato de que as harmonias celestes seriam percebidas apenas a partir do Sol, pareceria possível concluir que Kepler considerou-as objetos da mente e não dos sentidos. Embora a alma-terra pudesse perceber e ser influenciada pelo aspetos astrológicos (a manifestação da harmonia na natureza), pareceria que apenas as mentes inteligentes poderiam entender e reconhecer as harmonias celestes, uma vez que tivessem sido trazidas à luz.”
8ª) Finalmente, na oitava condição, Kepler faz o estudo conjunto dos arcos das órbitas de dois planetas, relacionando o período de revolução dos mesmos e a distância média que os separam do Sol. Kepler sabe que está diante de uma verdadeira descoberta astronômica, algo muito superior às suas hipóteses sobre os sólidos regulares:
“pois quando as verdadeiras distâncias entre as esferas foram determinadas por meio das observações de Brahe, pelo trabalho contínuo de longa data, enfim, a verdadeira proporção entre os períodos e as esferas – e se você (leitor) quiser o momento exato, ela foi concebida mentalmente em 8 de março deste ano de 1618, mas submetida aos cálculos de forma errônea e assim tida como falsa, e finalmente retomada em 15 de maio, adotando uma nova linha de pensamento, vencendo a escuridão da minha mente.”
Antes, ainda, apresenta quatro definições necessárias para as futuras argumentações:
1. “Apside mais próxima de dois planetas: periélio do planeta superior, afélio do planeta inferior, não obstante o fato que eles tendam a não estar na mesma região do mundo, mas em diferentes, e por ventura até em lados opostos.
2. Movimentos extremos: o mais lento e o mais rápido de toda a trajetória orbital.
3. Movimentos convergentes ou de aproximação: aqueles que estão o mais próximo da apside, isto é, no periélio do planeta superior e no afélio do inferior.
4. Movimentos divergentes ou de afastamento: aqueles que estão na apside oposta, ou seja, no afélio do planeta superior e periélio do inferior.”
E, assim, anuncia:
“a proporção entre o período de quaisquer dois planetas é precisamente a razão de 3/2 (sesquiáltera) 30 das suas distâncias médias, isto é, das próprias esferas, embora tendo isto em mente, que a média aritmética entre os dois diâmetros da órbita elíptica é um pouco menor que o diâmetro mais longo.”
30 Música. figuração rítmica composta de seis notas iguais destinadas a ocupar o lugar de quatro, num compasso simples, e que devem ser executadas como duas tresquiálteras; hemiólia, hemioliasmo, sextina. Matemática. cada um de dois números, dos quais o último contém uma vez o primeiro mais a sua metade.
Na sequência, Kepler faz um estudo de caso (Saturno e Terra) no qual aplica os valores aproximados dos períodos de revolução destes dois planetas e justifica numericamente a sua descoberta. Tomamos a liberdade de usar a terminologia matemática moderna para ilustrar este exemplo e o fizemos da mesma forma empregada por Norberto de Paula Lima nos seus comentários sobre Timeu e Crítias (Κριτίας) ou Atlântida (Ἀτλαντικός) de Platão.
“Se qualquer um tomar um terço da proporção do período, por exemplo, da Terra, que é um ano, e fizer o mesmo com o período de Saturno, trinta anos, isto é, as raízes cúbicas, e tomar um duplo desta proporção, elevando ao quadrado as raízes, terá como resultado números que correspondem exatamente às distâncias médias da Terra e Saturno em relação ao Sol, pois a raiz cúbica de 1 é 1, e o quadrado disto é 1. Também a raiz cúbica de 30 é maior que três, e assim, o quadrado dela é maior que 9. E Saturno, em sua distância média em relação ao Sol, é um pouco maior que 9 vezes a distância média do Sol à Terra.”
9ª) Na nona condição, Kepler afirma que para “conhecer as verdadeiras trajetórias de cada planeta através do éter, duas razões devem ser combinadas, a razão dos arcos diários reais do excêntrico e a razão das distâncias médias de cada planeta em relação ao Sol.” É desta forma que se avaliará depois se as trajetórias descritas pelos planetas estão ou não estão em harmonia;
10ª) A décima condição trata do tamanho dos arcos diurnos reais para um observador posicionado no Sol: “para encontrar definitivamente o tamanho aparente de qualquer arco diário, (…) multiplique a proporção dos arcos pela proporção inversa, não da média, mas das distâncias reais, pois elas encontram-se em qualquer ponto do excêntrico.”
Período da Terra (1 ano) T Terra = 1
Período de Saturno (30 anos) T Saturno = 30
“se qualquer um tomar um terço da proporção do período, (…) isto é, as raízes cúbicas”
T Terra = 1
T Saturno = 30
³√T Terra/T Saturno
“e tomar um duplo desta proporção, elevando ao quadrado as raízes”

“terá como resultado números que correspondem exatamente às distâncias médias da Terra e Saturno em relação ao Sol.”

ou como foi primeiramente enunciado, “pois a raiz cúbica de 1 é 1, e o quadrado disto é 1.”

“também a raiz cúbica de 30 é maior que três, e assim, o quadrado dela é maior que 9.”

“e Saturno em sua distância média em relação ao Sol é um pouco maior que 9 vezes a distância média do Sol a Terra.”
R Terra/R Saturno = 1/9,67 » R Saturno = 9,67.R Terra
11ª) Na décima primeira condição, Kepler apresenta o cálculo de como a razão entre as distâncias entre os afélios e periélios de dois planetas podem ser obtidas a partir dos movimentos aparentes. Assim como na oitava condição, propõe um exemplo numérico. Decidimos expô-lo aqui por tratar-se de uma aplicação direta da condição de número oito:
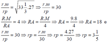
“Tomemos dois planetas cujos períodos de revolução sejam 27 e 8. Assim, a razão do movimento diário médio do primeiro para o segundo é 8 para 27. Consequentemente, (a razão entre) os semidiâmetros das órbitas será de 9 para 4. Pois a raiz cúbica de 27 é 3 e a raiz cúbica de 8 é 2, e o quadrado dessas raízes são 9 e 4. Agora, deixe que o movimento aparente no afélio de um seja 2 e no periélio do outro 33 e um terço. As proporções médias entre os movimentos médios 8 e 27, e estes, aparentes, serão de 4 e 30. Portanto, se a proporção média 4 corresponde a uma distância média de 9 para o planeta, então o movimento médio de 8 resulta numa distância do afélio de 18, o que corresponde ao movimento aparente de 2; e se a outra proporção média de 30 dá ao outro planeta uma distância média de 4, então o seu movimento médio de 27 irá resultar em um intervalo periélio de 3 e três quintos. Portanto, digo que a distância do afélio está para a distância do periélio como 18 está para 3 e três quintos. Disso se torna evidente que as harmonias impostas entre os movimentos extremos desses dois e os períodos determinados em cada caso acarretam as distâncias extremas e médias, assim como as excentricidades.”
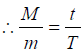
Em notação moderna, esse parágrafo fica mais fácil de ser interpretado:
“Tomemos dois planetas cujos períodos de revolução sejam 27 e 8”
Período de revolução do planeta mais afastado do Sol (T): 27;
Período de revolução do planeta mais próximo do Sol (t): 8;
“a razão do movimento diário médio do primeiro para o segundo é 8 para 27”
Movimento Diário Médio do planeta mais afastado do Sol (M): 8
Movimento Diário Médio do planeta mais próximo do Sol (m): 27
“Consequentemente, a razão entre os semidiâmetros das órbitas será de 9 para 4”
Semidiâmetro do planeta mais afastado do Sol (R): 9;
Semidiâmetro do planeta mais próximo do Sol (r): 4;

uso direto da condição 8;
“Agora, deixe que o movimento aparente no afélio de um seja 2 e no periélio do outro 33 e um terço”
Movimento aparente no afélio do planeta mais afastado (MA): 2;
Movimento aparente no periélio do planeta mais próximo (ma): 33 1/3
Nesta passagem específica, é preciso empregar o primeiro axioma que descrevemos na sexta condição:
“a proporção entre o arco diário aparente de um dado excêntrico é satisfatória e precisamente o quadrado do inverso da proporção das suas distâncias ao Sol”, ou seja,

“As proporções médias entre os movimentos médios 8 e 27, e estes, aparentes, serão de 4 e 30”
Onde:
(MA: movimento no afélio do planeta mais afastado do Sol;
ma: movimento no afélio do planeta mais próximo do Sol;
RA: distância do afélio do planeta mais afastado do Sol;
ra: distância do afélio do planeta mais próximo do Sol;
MP: movimento no periélio do planeta mais afastado do Sol;
mp: movimento no periélio do planeta mais próximo do Sol;
RP: distância do periélio do planeta mais afastado do Sol;
rp: distância do periélio do planeta mais próximo do Sol;
Os valores 4 e 30 são as razões aparentes, obtidas da seguinte forma:

e

“Portanto, se a proporção média 4 corresponde a uma distância média de 9 para o planeta, então o movimento médio de 8 resulta numa distância do afélio de 18, o que corresponde ao movimento aparente de 2; e se a outra proporção média de 30 dá ao outro planeta uma distância média de 4, então o seu movimento médio de 27 irá resultar em um intervalo periélio de 3 e três quintos”
12ª) Na décima segunda condição, Kepler afirma ser possível obter o movimento médio de um planeta a partir dos seus movimentos extremos: “neste caso, não é precisamente a média aritmética entre os movimentos extremos, nem precisamente a média geométrica; mas é tanto menor que a média geométrica quanto a média geométrica é menor que a média (aritmética) entre as duas médias”.
13ª) Kepler encerra o capítulo III com a condição que dá os parâmetros matemáticos das suas conclusões:
“a proporção de dois movimentos extremos aparentes convergentes é sempre menor que a razão sesquiáltera dos intervalos correspondentes a estes movimentos extremos; e em que razão o produto das duas razões dos intervalos correspondentes aos dois intervalos médios ou aos semidiâmetros das duas esferas não chega a alcançar a razão das raízes quadradas das esferas, nesta razão é que as razões dos dois movimentos extremos convergentes excedem a razão dos intervalos correspondentes; mas se esta razão composta excedesse a razão das raízes quadradas das esferas, então a razão dos movimentos convergentes seria menor que a razão de seus intervalos”.

Com quais aspectos relacionados aos movimentos dos planetas as harmonias simples foram expressas, e que todas aquelas que pertencem à melodia são encontradas nos céus
As considerações sobre as consonâncias planetárias, sendo que estas são definidas em função das condições discutidas no capítulo III, são apresentadas neste capítulo. Sobre o título “Com quais aspectos relacionados aos movimentos dos planetas as harmonias simples foram expressas, e que todas aquelas que pertencem à melodia são encontradas nos céus”, Kepler argumenta que, de todas as coisas que são relativas aos planetas, como “suas distâncias do Sol, seus períodos, arcos excêntricos diários, tempos gastos nestes arcos, ângulos em relação ao Sol –ou arcos diários aparentes vistos por um observador no Sol–.
(…), os períodos dos planetas são os que realmente importam para a determinação das proporções harmônicas.
Mas há muitas formas de se estudar a relação dos períodos dos planetas e, como é típico da escrita de Kepler, ele descreve os pormenores dos seus sucessos e também dos seus fracassos. Aiton, Duncan e Field, antecipam, em nota de rodapé, que apenas o período, ou as distâncias de afélio e periélio, ou o arco diurno verdadeiro no afélio e periélio, não resultarão na harmonia esperada por Kepler. Esta só ocorre, de acordo com Kepler, quando a comparação é feita entre as velocidades (angulares) no afélio e periélio, estando o observador no Sol, ou seja, nos movimentos diários aparentes. Antes de analisá-la, seria conveniente explicar o método utilizado por Kepler no capítulo IV em um estudo que não resultará nas consonâncias planetárias, mas ajudará na compreensão de como se estrutura a harmonia musical na cosmologia kepleriana. Para isso escolhemos a primeira hipótese, dos períodos de revolução serem harmônicos por si só.
São apresentadas duas tabelas: a primeira com os dados dos períodos de revolução dos planetas e as velocidades angulares médias, e a segunda com a interpretação harmônica dos valores dos períodos.


A tabela acima é construída de seguinte maneira: o período de Saturno é dividido pelo valor 2 repetidas vezes, pois como se sabe, na escala musical, uma nota e sua oitava – que numa corda, por exemplo, é obtida pela divisão da mesma ao meio – são interpretadas pelo ouvido humano como sons musicais idênticos. Desta forma, Kepler determina quatro oitavas para Saturno. O mesmo procedimento é repetido para o cálculo das três oitavas de Júpiter. Para Vênus e Mercúrio, o procedimento é parecido, só que desta vez, multiplica-se o período pelo valor 2, já que é possível obter tanto as oitavas mais agudas (dividindo-se a corda ao meio), como as mais graves (dobrando o tamanho da corda). O motivo pelo qual o período de Saturno é dividido até a sua “quarta oitava acima” e Mercúrio, até a sua “terceira oitava abaixo” é para que esses valores possam respeitar o intervalo de uma oitava, estabelecido em função do período da Terra (365 dias e 15 segundos), ou seja, mínimo de 182 dias e 37,5 segundos e máximo de 730 dias e 30 segundos.
Mas, como já foi anunciada, essa não é uma relação harmônica. Nas palavras de Kepler:
“Todos os últimos números são incompatíveis com as proporções harmônicas, e parecem semelhantes aos números inexprimíveis. Vamos permitir que o número de dias de Marte, 687, seja medido em unidades que simbolize 120, que significa a divisão de uma corda. Nestas unidades, Saturno será representado por um valor um pouco maior que 117, tomada a décima sexta parte; Júpiter um pouco menos de 95, tomada a oitava parte; a Terra um pouco menos de 64; Vênus um pouco mais de 78, tomado o dobro; Mercúrio, mais de 61, tomado o quádruplo. Ainda que estes números não formem nenhuma proporção harmônica com 120; os números vizinhos, 60, 75, 80, e 96 fazem. De forma similar, se Saturno simbolizar 120, Júpiter será representado por um valor próximo de 97; a Terra, um valor acima de 65; Vênus, mais de 80; Mercúrio, menos de 63. No caso de Júpiter ser 120, a Terra será menos de 81; Vênus, menos de 100; Mercúrio, menos de 78. Nas mesmas unidades para Vênus, a Terra será menor que 98; Mercúrio mais de 94. Por último, se a Terra se tornar 120, Mercúrio será menor que 116. Mas, se esta livre seleção de proporções fosse válida, ela estaria absolutamente em perfeita harmonia, sem excessos ou deficiências. Por essa razão, Deus o Criador não foi revelado por ter planejado introduzir as proporções harmônicas entre as somas dos tempos gastos (pelos planetas) aos tempos periódicos.”
O porquê do número 120 é explicado no capítulo IV do Livro III desta obra: “temos que encontrar para todos os números que representam os mais nobres termos da divisão harmônica de sete notas, isto é, 2, 3, 4, 5, 6, 5 e 8, o mínimo múltiplo comum, 120”. Os “nobres termos da divisão harmônica” são os valores empregados para obter por meio da divisão, dada a primeira nota, as outras notas da escala em uma oitava. Vejamos como Kepler esquematiza esta ideia: a nota mais grave representada na partitura no canto superior direito é um Sol (G). Ela também está representada pela última linha (ou seria uma corda?) no lado direito da figura. Sua oitava acima é a primeira nota na escala, e a primeira das linhas. Sua obtenção é conseguida mediante a divisão da corda pela metade, assim como é indicado na chave do lado esquerdo da figura (1/2 corresponde à primeira nota na escala) e na primeira linha onde se consegue ler os números 1 e 2 à esquerda da linha. O resultado desta divisão, 60, é apresentado na segunda chave da esquerda e na própria linha, à direita. O procedimento se repete para a segunda nota, o Mi sustenido (E#, equivalente ao fá, F), cuja razão é 5/8 (sétima) e o resultado da divisão é 72; para o Mi (E), de razão 5/8 (sexta) e valor 75; para o Ré (D), de razão 2/3 (quinta) e valor 80; para o Dó (C), de razão 3/4 (quarta) e valor 90; para o Si (B), de razão 4/5 (terça) e valor 96; e, finalmente para o Lá (A), de razão 5/6 (segunda) e valor 100.
“A proporção das partes” é obtida através da razão entre os intervalos das consonâncias: primeiro, compara-se as consonâncias – B está para A na razão 96/100 ou 24/25; C está para B na razão 90/96 ou 15/16; D está para C na razão 80/90 ou 8/9; E está para D na razão 75/80 ou 15/16; e por último, F está para E na razão 72/75 ou 24/25. Nota-se que os intervalos se repetem: 24/25, 15/16, 8/9, 15/16 e 24/25. A proporção das partes é a razão entre esses valores, que também se repetem quando ajustados: 9/10, 8/9, 9/10.
Portanto, não formam consonâncias as razões entre os períodos de Saturno e Marte (117/120), Júpiter e Marte (95/120 ou 19/24), Terra e Marte (64/120 ou 8/15), Vênus e Marte (78/120 ou 39/60), Mercúrio e Marte (61/120), Júpiter e Saturno (97/120), Terra e Saturno (65/120 ou 13/24), Vênus e Saturno (~80/120), Mercúrio e Saturno (63/120), Terra e Júpiter (81/120 ou 27/40), Vênus e Júpiter (~100/120), Mercúrio e Júpiter (78/120 ou 39/60), Terra e Vênus (98/120 ou 49/60), Mercúrio e Vênus (94/120 ou 47/60), e, por fim, Mercúrio e Terra (116/120 ou 29/30).

Na escala musical à direita, o primeiro símbolo à esquerda é uma clave de Fá. O segundo símbolo é a indicação da nota, o terceiro corresponde ao atual # (sustenido) e a letra b, indica o bemol da nota natural que se segue.
Para a conclusão deste capítulo, discutiremos as características do movimento planetário que resultam nas harmonias celestiais. Kepler analisa assim a questão:
“Desde que, entretanto, Deus nada estabeleceu sem uma beleza geométrica, a menos que esteja relacionada com alguma outra coisa de maior prioridade, nós prontamente inferimos que os períodos têm a sua duração, assim como os astros também têm seus volumes, originados de algo que tem uma existência anterior no arquétipo. (…) As harmonizações geométricas devem, portanto ser encontradas igualmente nestes tempos (períodos), ou em algo de maior prioridade na mente do Criador, aparentemente. (…) Quanto ao que concerne aos planetas individualmente, portanto, a discussão sobre os arcos, os períodos empregados em arcos iguais, e o distanciamento dos arcos em relação ao Sol, será única e a mesma. E porque tudo isto acontece de forma variada no caso dos planetas, não há dúvida que se estas prescrevem qualquer beleza geométrica, pelo infalível projeto do Artesão, isto acontece nos seus extremos, nas distâncias de afélio e periélio, (…). Portanto, as distâncias extremas (…) baseadas nas observações muito acuradas de Tycho Brahe, pelo método explicado no Comentários sobre Marte e pelo esforço muito persistente de dezessete anos, (…), não há nenhum planeta sozinho, com exceção de Marte e Mercúrio, que as distâncias extremas sugiram a harmonia. Mas, se compararmos entre si as distâncias extremas de diferentes planetas, alguma luz de harmonia começa a brilhar adiante.”
A seguir veremos como Kepler propõe a unificação da teoria dos sólidos regulares com as harmonias celestiais. Acreditamos que devemos apresentar a argumentação por etapas e de forma sucinta, já que Kepler muitas vezes se dá ao trabalho de “nos divertir com sua narrativa”:
1. Somente as distâncias não são apropriadas para verificar as harmonias, pois estas estão relacionadas à lentidão ou rapidez do movimento: para justificar esta afirmação, Kepler descreve, anteriormente, uma tabela com dados relativos às distâncias de afélio e periélio dos planetas. Por exemplo, são atribuídos a Saturno os valores 10052 para afélio e 8968 para periélio, que não resultam por si só em consonância, já que a razão destes valores é “maior que o tom menor 10000/9000 e menor que o tom maior 10000/8935”.
2. Por se tratar de distâncias que simbolizam os diâmetros das esferas, a proporção dos cinco sólidos regulares deve ter prioridade em ser empregada. Estes valores devem ser pensados não mais como os raios das esferas, “mas como medidas do movimento”: ou seja, por analogia, as órbitas excêntricas são as linhas dos círculos que circunscrevem e se inscrevem nos poliedros. As “medidas do movimento” deixam de ser tratadas meramente como distâncias e assumem uma nova interpretação, a dos comportamentos dos astros em suas órbitas, nas posições extremas. Desta forma, os valores dos arcos excêntricos expressos em minutos e segundos devem ser empregados segundo a condição nove expressa no capítulo III do livro V do Harmonices mundi: “os movimentos diários de cada planeta devem ser multiplicados pelo semidiâmetro de suas órbitas”.
Essa nova interpretação também não revela a harmonia esperada. Em contrapartida, é usada por Kepler para fazer uma referência a Aristóteles:
“Deste modo, Saturno mal completa um sétimo do trajeto de Mercúrio; e o resultado é o que Aristóteles, no livro II do seu De Caelo, julgou estar de acordo com a razão, que o planeta mais próximo ao Sol sempre completa uma distância maior do que aqueles mais afastados, o que era impossível atingir na astronomia antiga.”
3. As trajetórias verdadeiras dos planetas não devem ser consideradas para as relações harmônicas, e sim os arcos diários aparentes, aqueles que são interpretados como se vistos do Sol. Kepler procura convencer os seus leitores que o tipo de harmonia que estava propondo, até então, não era algo instintivo como as harmonias que ocorrem naturalmente, tal qual na luz e no som:
“Mas quem se beneficiará das harmonias entre os arcos, ou quem compreenderá essas harmonias? Há duas coisas que nos revelam as harmonias em eventos naturais, sejam eles luz ou som. Aquele é recebido através do olhar, ou de sentidos ocultos análogos ao olhar; e este, através dos ouvidos. E a compreensão mental nessas revelações distingue entre instinto (sobre o qual muito foi dito no Livro IV) ou por raciocínio astronômico ou harmônico entre o melódico e o não-melódico. Na verdade, não existe nenhum tipo de som nos céus, e a movimentação não é tão turbulenta a ponto de produzir um assobio por meio da fricção com o ar celestial. Resta a luz. Se pode nos ensinar qualquer coisa sobre os arcos dos planetas, ela nos ensina que os olhos ou algum órgão sensorial análogo a eles, estão localizados numa determinada posição; e para que a luz nos informe de imediato e por iniciativa própria, parece que o órgão sensorial tem de estar em sua presença. Portanto, haverá um órgão de sentido por todo o mundo, o que equivale a dizer que, desta forma, um único e mesmo órgão está presente nas movimentações de todos os planetas”.
A partir deste parágrafo no texto, há um “ponto de virada” bastante significativo: Kepler sugere que deixemos um pouco de lado a astronomia racional e encaremos a harmonia de forma mais instintiva, tal qual a ação dos aspectos celestiais em nossas vidas terrestres, pois:
“assim, esta aparência, trazida pela ação da luz sobre o corpo do Sol, pode, junto à própria luz, fluir direto para as criaturas vivas, que compartilham neste instinto, assim como no quarto livro afirmamos que o padrão dos céus flui para um embrião por ação dos raios”.
Portanto, a hipótese harmônica recai nos arcos descritos pelos planetas em seus movimentos diários, tendo como referencial o Sol. Para isso, recorre a astronomia defendida por Tycho Brahe e apresenta os seguintes dados para os arcos aparentes:

A tabela anterior deve ser interpretada da seguinte maneira:
1. Os intervalos convergentes e divergentes (à esquerda) se referem ao que foi anteriormente dado como definição na condição 8. Para conseguir estas relações, os valores devem ser transformados, ou seja, para o primeiro movimento divergente (a/d), o valor do arco do afélio de Saturno (1min46s) deve ser interpretado como 106 segundos (1min=60s + 46s = 106s) e o valor do arco do periélio de Júpiter (5min30s), 330 segundos. Portanto, 106/330 equivale aproximadamente a 1/3.
2. Individualmente e dentro do limite estabelecido (à direita, “entre – e”), cada planeta é representado por uma consonância dentro da escala. Tomando os valores da mesma forma que no exemplo anterior, para Saturno, 108 segundos referentes ao arco diário no afélio e 135 segundos (2min e 15s = 120s + 15s = 135s) referentes ao periélio, equivalem a razão 108/135, ou seja, 4/5.
Nos dois casos, tanto na comparação entre os movimentos extremos de dois planetas consecutivos em posições opostas (por exemplo, velocidade de Saturno no afélio e Júpiter no periélio) como na comparação dos movimentos extremos de cada planeta tomado individualmente, as relações harmônicas se apresentam claramente e com boa aproximação, com melhores resultados para o primeiro caso.
“Ademais, existe uma grande distinção entre as harmonias que foram delimitadas entre planetas individuais e entre planetas combinados. Pois as primeiras realmente não podem existir no mesmo momento específico, enquanto o segundo, absolutamente, pode. Porque o mesmo planeta, quando situado em seu afélio não pode, ao mesmo tempo, estar também em seu periélio, que é oposto, mas tratando-se de dois planetas, um pode estar em seu afélio e o outro, em seu periélio no mesmo momento específico. Então, a proporção da melodia simples ou monodia, que chamamos de música coral e que era o único tipo conhecido pelos antigos, – a melodia de diversas vozes chama-se figurada, invenção dos séculos recentes – é a mesma que a proporção das harmonias indicadas por planetas individuais às harmonias que eles indicam em combinação.
δ

Conclusão do Capítulo III
Ao contrário do que se possa imaginar, o Harmonices mundi não encerra a busca de Kepler pela harmonia do mundo. Como vimos, o Epitome astronomiae Copernicae e o Tabulae Rudolphinae estavam sendo escritos paralelamente ao Harmonices mundi e, nestas duas obras (mais na primeira que na segunda), Kepler retoma boa parte da discussão sobre os sólidos regulares, a forma das trajetórias planetárias e a relação harmônica entre período e distância em relação ao Sol. Até uma segunda versão do Mysterium Cosmographicum foi publicada em 1621, revisada e comentada pelo autor, já adaptado às suas novas conclusões.
As duas tentativas iniciais de Kepler de se estabelecer uma relação harmônica entre período e distância, publicadas no Mysterium Cosmographicum e no Astronomia Nova, são muito inferiores àquela obtida no Harmonices mundi. Apesar de todo o detalhamento empregado em seu texto para apresentar as conclusões a respeito dos movimentos celestes e dos cálculos apresentados como exemplos da aplicação de sua teoria astronômica, o livro V termina sem Kepler justificar como chegou à conclusão da condição oito. Não foi possível saber através da leitura por que a razão entre os períodos de dois planetas se relaciona com as respectivas distâncias médias através da potência de 3/2. Não há nenhuma demonstração – nem geométrica, nem aritmética – nem justificativa de ordem física que caracterizem este expoente.
Assim sendo, como Kepler obteve êxito? Como Kepler determinou que a razão entre os quadrados dos períodos é igual à razão entre os cubos das distâncias médias?
Se lembrarmos do texto original, veremos que em 8 de março de 1618 ele experimentou trabalhar com o expoente 3/2 mas não obteve sucesso por erros em seus cálculos. Ou seja, Kepler parte de uma hipótese teórica a priorie a submete à prova matemática. Também sabemos que Kepler é um hábil calculador, mas, acima de tudo, é um matemático extremamente motivado a encontrar os arquétipos estabelecidos pelo Criador na formação do mundo. Vimos, no capítulo II desta dissertação, o quanto foi trabalhoso para Kepler calcular as distâncias dos planetas em relação ao Sol em função dos arcos descritos em suas órbitas, mas que uma mudança na metodologia do cálculo o fez concluir o que conhecemos hoje como “segunda lei de Kepler” ou “lei das áreas”. Voltando ao texto original, em 15 de maio Kepler retoma o expoente 3/2 com uma nova linha de pensamento (que não sabemos qual é) e determina a relação exata.
“A terceira lei é mencionada sem uma explicação do contexto na qual aparece no livro. Ou seja, a pérola é retirada de seu suporte, onde, no entanto, todo o seu encanto torna-se importante pela primeira vez. Mas o estilo de tal suporte não corresponde ao materialismo de nosso tempo; é repleto de ornamentações, ricas em referências e com cuja elegância simbólica muitos não sabem como começar qualquer coisa. É insignificante a objeção à concepção de Kepler baseada no argumento de que não existem apenas seis planetas, que posteriormente dois ou quiçá três planetas adicionais além da órbita de Saturno e várias centenas de pequenos planetas entre Marte e Júpiter foram descobertos. Como se todo sistema científico, no qual concebemos os fenômenos da natureza, não correspondesse apenas à posição da pesquisa de seu tempo e não pudesse ser derrubado no dia seguinte pela descoberta de novos fatos empíricos!”
M. Caspar
Sorte ou perseverança? Intuição ou iluminação? Ciência ou adivinhação? Não há respostas exatas para tais perguntas. Segundo Debus, Kepler é o “paradoxo científico do Renascimento – o excelente matemático cuja inspiração provinha de sua crença nas harmonias místicas do universo”.
Mas a “terceira lei” não é conhecida como “lei harmônica” apenas por dar a relação entre períodos e distâncias de dois corpos celestes. Por meio dela, é possível calcular os movimentos dos planetas no afélio e no periélio, e a partir destes, revelar ao mundo a harmonia que o adorna.
Os valores obtidos pelas razões entre os movimentos no afélio e periélio de um só planeta, ou em pares, em situações opostas, assemelham-se com as proporções simples das notas musicais. Retomando o exemplo de Kepler no livro III do Harmonices mundi, sendo Saturno o planeta mais afastado do Sol, e portanto mais lento, seu menor movimento (afélio: 106 segundos) corresponderá à nota mais grave do sistema harmônico (sol). A Terra, que apresenta movimento no afélio semelhante ao de Saturno (afélio: 107 segundos) também corresponderia à nota sol, porém mais aguda (cinco oitavas acima) pois sua órbita é menor que a de Saturno. Como os planetas variam a suas velocidades ao longo do seu movimento anual, um conjunto de notas podem ser atribuídas aos mesmos, de acordo com os modos maior ou menor: eis as consonâncias planetárias.

Representação das notas musicais que se assemelham às velocidades angulares dos planetas em suas órbitas in J. Kepler, Harmony of the World.
Saturno
sol, lá, si, lá, sol
Júpiter
sol, lá, si bemol, lá, sol
Marte
fá, sol, lá, si bemol, dó, si bemol, lá, sol, fá
Terra
sol, lá bemol, sol
Vênus
mi (uníssono)
Mercúrio
dó, ré, mi, fá, sol, lá, si, dó, ré, mi, dó, sol, mi, dó
γ
“Há ainda outra importante conclusão. Por meio da razão das velocidades extremas de um planeta, obtém-se (de acordo com a proposição das áreas) a razão das suas distâncias extremas. Isto corresponde ao valor do excêntrico. Assim como ele uma vez, no Mysterium Cosmographicum, acreditou ter revelado o número e as distâncias dos planetas a partir dos sólidos regulares a priori, agora estava convencido de que tinha obtido êxito da mesma forma com os excêntricos, também com a ajuda da harmonia. Em seu trabalho da juventude, ele expressou a esperança de que viria o dia em que esse mistério também fosse revelado, uma vez que, de fato, Deus não havia distribuído os excêntricos destas dimensões aos planetas individuais de forma aleatória e sem razão. Este dia havia chegado, o objetivo foi alcançado.”
Apesar de todo esforço de Kepler em consolidar sua cosmologia com uma série de considerações que estivessem em harmonia com os princípios geométricos, astronômicos, físicos, matemáticos e religiosos de sua época, esta obra em particular não recebeu atenção à altura de seu propósito. O âmbito da astronomia, que carecia de um novo referencial após ter recebido severas críticas de astrônomos como Nicolau Copérnico, Tycho Brahe e Galileo Galilei, reconheceu Kepler apenas parcialmente como um sucessor fidedigno. Como nos conta Bruce Stephenson no seu livro The Music of the Heaven,
“em meados do século XVII, os leitores haviam conseguido desarraigar as três “leis do movimento planetário” dos livros de Kepler. Era muito mais provável, no entanto, que fizessem referência ao livro didático de Kepler, o Epitomae astronomiae Copernicanae, e às Tábuas Rudolphinas para tais efeitos do que às fontes originais, o Astronomia nova e o Harmonice Mundi. As teorias de Kepler sobre a harmonia celestial, por outro lado, parecem ter sido amplamente ignoradas. Logo após o nascimento, parecem ter sido relegadas a uma espécie de limbo, da qual nunca saíram: técnicas demais para serem lidas por aqueles que tentam ouvir a música das esferas e peculiar demais para serem levadas a sério por cientistas com a habilidade técnica para entendê-las”.31
31 B. Stephenson, The Music of the Heaven, pp. 242-3.
Parece até que Kepler já previa que o Harmonices mundi teria uma aceitação difícil entre os seus pares (“não faz diferença se ele será lido pelos meus contemporâneos ou pelas pessoas que virão: deixe-o esperar pelo seu leitor por cem anos, já que o próprio Deus esperou por seis mil anos por alguém que O interpretasse.”), mas para ele não fazia diferença: estaria sempre a serviço do Deus Criador, a decifrar e divulgar a Sua obra.
δ
Referência Bibliográfica
ALFONSO-GOLDFARB, A. M. A magia das máquinas: John Wilkins e a origem da mecânica moderna. São Paulo, Experimento, 1994.
_____, O que é História da Ciência. São Paulo, Brasiliense, 1994.
AMERICAN COUNCIL OF LEARNED SOCIETIES. Dictionary of Scientific Biography. Nova Iorque, Charles Scribner´s sons, 1981.
ANDERY, M. A. P. A. & N. Micheletto & T. M. A. P. Sério & D. R. Rubano & M. Moroz & M. E. M, Pereira & S. C. Gioia & M. H. T. A. Gianfaldoni & M. R. Savioli & M. L. B. Zanotto, orgs. Para compreender a ciência. 6a Edição. São Paulo/Rio de Janeiro, Educ, 1996.
BIANCHI, L., “A física do movimento”. Revista Scientific American Especial: A ciência na Idade Média: 40-3;
BOCZKO, R. Conceitos de Astronomia. São Paulo, Edgard Blücher, 1984.
BOQUIN, D. & J. Celeyrette, “A lógica na Idade Média”, Revista Scientific American Especial: A ciência na Idade Média: 24-9.
BUTTERFIELD, H. As origens da ciência moderna. Trad. portuguesa de Teresa Martinho. Lisboa, Edições 70, 1992.
CASPAR, M. Kepler. Trad. inglesa de C. Doris Hellman. Nova Iorque, Dover Publications, 1993.
COHEN, I. B. & R. S. Westfall, orgs. Newton: textos, antecedentes, comentários. Trad. Vera Ribeiro. Rio de Janeiro, Contraponto/Eduerj, 2002.
COHEN, I. B. Revolution in Science. Cambridge/Massachusetts/Londres, Harvard University Press, 1985.
COLEÇÃO OS PENSADORES, Aristóteles. São Paulo, Nova Cultural, 2004.
_____, História da Filosofia. São Paulo, Nova Cultural, 2004.
_____, Platão. São Paulo, Nova Cultural, 2004.
_____, Pré-Socráticos. São Paulo, Nova Cultural, 2004.
_____, Santo Agostinho. São Paulo, Nova Cultural, 2004.
_____, Tomás de Aquino. São Paulo, Nova Cultural, 2004.
CONFORD, F. M. Plato´s cosmology: The Timaeus of Plato. Indianópolis/Cambridge, Hackett Publishing Company, 1977.
COPÉRNICO, N. Commentariolus: pequeno comentário de Nicolau Copérnico sobre suas próprias hipóteses acerca dos movimentos celestes. Ed. de Roberto de Andrade Martins. 2a Edição. São Paulo, Editora Livraria da Física, 2003.
_____, On the Revolutions of the Heavenly Spheres. Tradução inglesa de C. G. Wallis. Chicago/Londres, Enciclopaedia Britannica, 1952 (Col. Great Books of Western World, Vol. 16)
CROWE, M. J. Theories of the World – from Antiquity to the Copernican Revolution. 2a Edição. Nova Iorque, Dover Publications, 2001.
DEBUS, A. El Hombre y la Naturaleza en el Renacimiento. Trad. espanhola de S. L. Rendón. 2ª. Edição. México D. F., Fondo de Cultura Económica, 1996.
DREYER, J.L.E. A history of astronomy from Thales to Kepler. 2a. edição, Nova Iorque, Dover Publications [s.d.]
ÉVORA, F. R. R. A revolução copernicana-galileana. I. Astronomia e cosmologia pré-galileana. Campinas: Centro de Lógica, Epistemologia e História da Ciência/UNICAMP, 1988 (Coleção CLE, 3)
FIELD, J. V. “Rediscovering the Archimedean Polyhedra: Piero della Francesca, Luca Pacioli, Leonardo da Vinci, Albrecht Dürer, Daniele Barbaro, and Johannes Kepler”, Arquive for History of Exact Science, vol. 50, no 3-4, 1997;
GALILEO-KEPLER, El mensaje y el menjareo sideral. Trad. espanhola de C. S. Santos. Madri, Alianza Editorial, 1984;
GINGRAS, Y. & P. Keating & C. Limoges, Do Escriba ao Sábio: os detentores do saber da Antiguidade à Revolução Industrial. Trad. portuguesa de Ângelo dos Santos Pereira. Porto, Porto Editora, 2007.
HALL, M. B., The Scientific Renaissance 1450 – 1630. Nova Iorque, Dover Publications, 1994.
KEPLER, J. Concerning the more certain fundamentals of astrology: a new brief dissertation lookings towards a cosmotheory together with a physical prognosis for the year 1602 from the birth of christ, written to the philosophers, 1602. Edmonds (WA), Holmes Publishing Group, 2001.
_____, Epitome of Copernican astronomy and Hamonies of the world. Trad. inglesa Charles G. Wallis. Chicago/Londres, Enciclopaedia Britannica, 1952. (Col. Great Books of Western World, Vol. 16)
_____, Epitome of Copernican astronomy and Hamonies of the world.
Trad. inglesa Charles G. Wallis. Nova Iorque, Prometheus Books, 1995.
_____, The Harmony of the world. Trad. inglesa E. J. Ailton, A. M. Ducan,
J. V. Field. Filadélfia, American Philosophical Society, 1997.
KOESTLER, A. Os Sonâmbulos. História das idéias do homem sobre o Universo. Trad. Alberto Denis. São Paulo, Instituição Brasileira de Difusão Cultural, 1961.
KOYRÉ, A. Do Mundo fechado ao Universo infinito. Trad. Donaldson M. Garschagen. 3a Edição, Rio de Janeiro/São Paulo, Forense Universitária, 2001.
_____, Estudos de História do Pensamento Científico. Trad. Márcio Ramalho. Rio de Janeiro/Brasília, Editora Forense Universitária/Universidade de Brasília, 1992.
_____, Estudos Galilaicos, Trad. portuguesa Nuno F. da Fonseca. Lisboa, Publicações Dom Quixote, 1986;
KUHN, T. S. A estrutura das revoluções científicas. Trad. Beatriz Vianna Boeira & Nelson Boeira. 8a Edição. São Paulo, Perspectiva, 2003.
______, A Revolução Copernicana. A Astronomia Planetária no Desenvolvimento do Pensamento Ocidental. Trad. Marília Costa Fontes. Lisboa, [s.ed.], [s.d.].
MARTENS, R. M. Kepler´s phylosophy and the new astronomy. Princeton/Oxford, Princeton University Press, 2001.
MARTINS, R. A., “A Torre de Babel Científica”, Revista Scientific American Especial: Grandes Erros da Ciência: 6-13;
_____, R. A., O Universo. Teorias sobre sua origem e evolução. São Paulo, Moderna, 1994.
McCLUSKEY, S. C. Astronomies and cultures in early medieval Europe. Cambridge, Cambridge University Press, 1998.
METHUEN, C. Kepler´s Tübingen: stimulus to theological mathematics? Tese de Doutorado, Edingburgh, University of Edinburgh, 1994.
PLATÃO, Timeu e Crítias ou a Atlântida. Trad. N. P. Lima. São Paulo, Hemus, 1981.
PTOLOMEU, C. The Almagest. Trad. Inglesa de R. C. Taliaferro. Chicago/Londres, Enciclopaedia Britannica, 1952. (Col. Great Books of Western World, Vol. 16)
_____, Harmonics. Trad. inglesa de J. Solomon. Leiden/Boston, Brill, 2000.
_____, Tetrabiblos. Trad. inglesa de F. E. Robbins. Cambridge, Harvard University Press, 1980.
RIHA, O., “Medicina dos Humores e Símbolos”, Revista Scientific American Especial: A ciência na Idade Média: 52-7;
ROSSI, P. A ciência e a filosofia dos modernos. Trad. Álvaro Lorencini, 1ª Reimpressão, São Paulo, Editora Unesp, 1992.
_____. O nascimento da ciência moderna na Europa. Trad. Antonio Angonese. Bauru/São Paulo, Edusc, 2001.
SACROBOSCO, J. Tratado da Esfera. Trad. Carlos Ziller Camenietzk sobre Trad. Pedro Nunes. São Paulo/Rio de Janeiro, Editora Unesp/Nova Stella Editorial/MAST, 1991.
SAVOIE, D., “Os estudos no Ocidente”. Revista Scientific American Especial, A ciência na Idade Média: 9;
SILVA, C. C., “A natureza dos cometas e o escorregão de Galileu”, Revista Scientific American Brasil: Grandes erros da Ciência: 20-5;
STEPHENSON, B. The music of the heavens: Kepler´s harmonic astronomy. Princeton, Princeton University Press, 1994.
VERDET, J. P. Uma História da Astronomia. Trad. Fernando Py. Rio de Janeiro, Jorge Zahar Editor, 1991.
Ω








