Jan Ruis
O estatístico holandês Dr. JAN RUIS voltou suas habilidades estatísticas para a tarefa formidável de analisar os mapas de nascimento de quase 300 assassinos em série e revelou que há uma tendência estatística significativa para os assassinos em série nascerem sob os signos mutáveis: Gêmeos, Virgem, Sagitário e Peixes. Com certa preponderância em aspectos da Lua em seus mapas natais e a 12ª casa.
com o desenvolvimento dos métodos de computador Jan Ruis ajudou a validar a astrologia com os dados de Gauquelin em 10 estudos bem-sucedidos revisados por pares. Na época em que Gauquelin publicou seu estudo, ele não tinha acesso às novas e poderosas tecnologias de computador. A tecnologia do computador tem produzido resultados extraordinários para a astrologia. através dos dados de nascimento originais que Gauquelin e sua esposa usaram em seus muitos projetos de pesquisa.
υ
Tradução:
César Augusto – Astrólogo
φ
Resumo
Neste estudo, são testadas hipóteses de astrólogos sobre a predominância de fatores astrológicos específicos nos mapas de nascimento de assassinos em série. Em particular, os signos mutáveis (Gêmeos, Virgem, Sagitário e Peixes), a 12ª casa e seus fatores (Peixes, Netuno) e aspectos específicos da Lua são frequentes entre os assassinos em série se compararmos com a população normal.
Uma seleção consistindo de duas bases de dados de ‘serial killers’ do sexo masculino foi analisada: uma base consistindo de dados de nascimento com uma hora de nascimento conhecida (N = 77) e outra base com hora de nascimento desconhecida (foi usado 12:00 AM, N = 216). A base com hora de nascimento conhecida foi selecionada do conteúdo astrológico do AstroDatabank. A base com hora de nascimento desconhecida foi selecionada a partir de três fontes especializadas na Internet.
Vários grupos de controle foram obtidos por métodos shuffle e time-shifting e por amostragem de dados de nascimento de 6.000 pessoas do AstroDatabank. As frequências teoricamente esperadas de fatores astrológicos foram derivadas da seleção de controle. As funções de densidade de probabilidade foram obtidas pelo método de bootstrap e utilizadas para estimar os níveis de relevância.
Verificou-se que os ‘serial killers’ frequentemente nascem quando os fatores celestes estão em signos mutáveis (com hora do nascimento: p = 0,005, tamanho do efeito = 0,31; sem hora do nascimento: p = 0,002, tamanho do efeito = 0,25). A frequência dos planetas na 12ª casa é significativamente alta (p = 0,005, tamanho do efeito = 0,31, apenas para com hora do nascimento) e a frequência de distribuição dos aspectos da Lua apontou para a distribuição teórica em toda a seleção (p = 0,0005) e na base de dados com hora de nascimento conhecida (p = 0,001).
Conclui-se que, com base nos dois conjuntos de dados, algumas das alegações de astrólogos não podem ser rejeitadas.

Introdução
Essa investigação é estimulada por artigos de pesquisas astrológicas sobre os mapas de nascimento de assassinos em série. Infelizmente, as hipóteses da astróloga Liz Greene e outros sobre as cartas natais de psicopatas e assassinos em série não foram testadas nestes artigos de pesquisa. Sinto o desafio de fazer isso em um estudo mais detalhado.
Evidências da astrologia são amplamente escassas, embora alguns estudos relatem efeitos de pequeno tamanho. Pode-se argumentar que, se alguns desses efeitos astrológicos são genuínos, efeitos de tamanhos maiores são esperados em amostras que são mais homogêneas no que diz respeito a certos fatores comportamentais ou psicológicos. Os ‘serial killers’ podem ser considerados bastante homogêneos no que diz respeito aos traços psicológicos comuns, que se manifestam em uma idade precoce, e no que diz respeito ao histórico, que é principalmente disfuncional, envolvendo abuso sexual ou físico, drogas ou alcoolismo. Se a astrologia funciona, pode-se dizer que os assassinos em série devem exibir fatores comuns em seus mapas de nascimento.
Tipos específicos de comportamento, como tortura de animais, incêndio, urinar na cama, sonhar acordado com frequência, isolamento social e mentira crônica, caracterizam a infância dos assassinos em série. Quando adultos eles são viciados em suas fantasias, têm falta de empatia, uma necessidade constante de estímulos, uma falta de objetivos externos na vida, um baixo autocontrole e um baixo senso de poder pessoal. A falta de empatia ou remorso, o encanto superficial e a auto avaliação exagerada são características da psicopatia. Também é dito que os assassinos em série têm uma forma de transtorno de personalidade narcisista com um vício mental para matar. Em muitos perfis psicológicos de assassinos em série, o tema central é o devaneio frequente, começando na primeira infância e associado a uma imaginação poderosa. Leva ao mundo da fantasia generalizada em que o ‘serial killer’ começa a viver como proteção contra o isolamento e os sentimentos de inadequação decorrentes desse isolamento. Muitos assassinos em série praticam seus crimes por causa das fantasias violentas e detalhadas (poder, tortura e assassinato) que se desenvolveram em suas mentes desde os sete e oito anos de idade. Esses devaneios agressivos, desenvolvidos quando crianças, continuam a se desenvolver e se expandir através da adolescência até a maturidade, onde são finalmente liberados para o mundo real. Com cada vítima sucessiva, eles tentam ajustar o ato, esforçando-se para tornar as experiências da vida real tão perfeitas quanto a fantasia.
‘Assassinos em série’, dos quais 90% são homens, devem ser diferenciados dos outros múltiplos tipos de assassinos: assassinos violentos, que incluem assassinos eventuais ou assassinos em massa. O típico ‘assassino em série’ assassina uma única vítima em eventos separados, enquanto volta à vida normal entre os assassinatos, e pode continuar com esse padrão por anos. Em contraste, um assassino em massa mata muitas pessoas em um único evento que geralmente termina com o suicídio real ou provocado, como o massacre da Escola Secundária de Columbine. Um assassino eventual pode ser visto como um assassino em massa móvel, como Charles Starkweather e Andrew Cunanan.
A definição do FBI de um ‘serial killer‘ afirma que eles devem ter cometido pelo menos três assassinatos em locais diferentes com um período de reflexão entre os assassinatos. Essa definição é criticada por não ser específica o suficiente no que diz respeito à natureza dos crimes e ao número de mortes. Uma pessoa com a mentalidade de um ‘serial killer’, que é presa após o segundo assassinato por motivação sexual, não seria um ‘serial killer’ nesta definição. Portanto, no National Institute of Justice foi formulada outra descrição adotada neste presente estudo:
“Uma série de dois ou mais assassinatos, cometidos como eventos separados, geralmente, mas nem sempre, por um criminoso agindo sozinho. Os crimes podem ocorrer durante um período de tempo que varia de horas a anos. Algumas vezes o motivo é psicológico, e o comportamento do agressor e as evidências físicas observadas na cena do crime muitas vezes refletem conotações sexuais sádicas”.
Normalmente distinguem-se cinco categorias diferentes de assassinos em série:
1. Visionário. Está sujeito a alucinações ou visões que lhe dizem para matar. Exemplos: Edward Gein e Herbert Mullin.
2. Missionário. Vai em busca de “missões” para erradicar um grupo específico de pessoas (prostitutas, grupos étnicos). Os assassinos de missionários acreditam que seus atos são justificados com base no fato de que estão se livrando de um certo tipo de pessoa e, portanto, fazendo um favor à sociedade. Exemplos: Gary Ridgway e Carroll Cole.
3. Hedonista, com dois subtipos:
a) Motivado pela luxúria: associa o prazer sexual ao assassinato. Tortura e necrofilia são experiências erotizadas. Um exemplo é Jeffrey Dahmer.
b) Motivado pela emoção: sente a emoção de matar; empolgação e euforia com a angústia final da vítima. Um exemplo é Dennis Rader.
4. Busca de poder e controle. O motivo principal é a necessidade urgente de afirmar a supremacia sobre uma vítima indefesa, para compensar seus próprios sentimentos arraigados de inutilidade domina completamente sua vítima. Um exemplo é Ted Bundy.
5. Motivado pelo ganho. A maioria dos criminosos que cometem vários assassinatos para obter ganhos financeiros (como ladrões de banco, assassinos do tráfico ou da máfia) não são classificados como assassinos em série, porque agem pelos ganhos econômicos e não por uma compulsão psicopatológica. Muitos assassinos em série podem levar um ‘troféu’ da cena do crime, ou mesmo alguns objetos de valor, mas o ganho financeiro não é o motivo principal. Ainda assim, não existe uma fronteira clara entre os assassinos que visam e outros tipos de assassinos em série. Por exemplo, Marcel Petiot gostava de ver suas vítimas morrerem por um olho mágico após ter roubado seus pertences. Aqui, o sadismo como motivo psicológico estava claramente envolvido. Tanto o sadismo quanto a ganância também motivaram Henry Howard Holmes, e o sadismo foi pelo menos um segundo motivo nos assassinatos do “barba azul” (que assassinam uma série de esposas, noivos ou parceiros para obter lucro) como Harry Powers . Schechter argumenta que todos os ‘barbas azuis’, como Henry Landru, George Joseph Smith e John George Haigh*, são movidos pela ganância e pelo sadismo. Outros investigadores de ‘serial killers’ como Aamodt, categorizam os ‘barbas azuis’ no grupo de assassinos em série motivados pelo poder. Holmes distingue seis tipos de ‘serial killers’: visionário, missionário, hedonista que visa a luxúria, hedonista que visa a emoção, o hedonista que visa o conforto e o fanático por poder/controle. Nessa tipologia, os ‘barbas azuis’ são colocados no tipo de conforto do grupo de assassinos em série. Outros argumentos que fazem os ‘barbas azuis’ serem incluídos no presente estudo são que eles se encaixam na definição de assassino em série do NIJ que, como assassinos em série típicos, eles se envolvem em atividades de planejamento, têm como alvo um tipo específico de vítima (vulnerável), mata de graça e por sua própria iniciativa, evitam serem capturados e fingem ser cidadãos normais enquanto escondem seus crimes.
* John George Haigh (existem dois mapas com diferentes datas de nascimento)
Outros assassinos múltiplos com fins lucrativos, como ladrões de banco e outros ladrões armados, pistoleiros em cena de drogas, a máfia ou outras gangues, geralmente não são considerados assassinos em série. Nem o são outros tipos de assassinos múltiplos, como criminosos de guerra, assassinos em massa (incluindo terroristas), assassinos eventuais e assassinos que matam seus parceiros por ciúme. Esses assassinos não foram incluídos neste estudo.
Como os limites definidos entre os diferentes tipos de assassinos múltiplos são difíceis de traçar, usei uma lista de verificação para definir os assassinos em série neste estudo e para distinguir entre assassinos em série e os outros tipos de assassino em massa. Esta lista de verificação é baseada nas características dos assassinos em série e violentos e está incluída no Apêndice A.
Por razões de homogeneidade, e porque as mulheres geralmente têm motivos diferentes em comparação com os homens e mais de 90% dos assassinos em série são homens, esta investigação foi restrita aos assassinos em série do sexo masculino.
Alguns astrólogos levantam a hipótese de que os mapas de nascimento dos assassinos em série mostram configurações que os tornariam mais suscetíveis a desenvolver esse distúrbio, especialmente quando são criados em uma família disfuncional. Deve-se enfatizar que esses astrólogos não afirmam que um assassino em série ou um psicopata pode ser detectado por seu mapa de nascimento.
O objetivo deste estudo é testar essas hipóteses astrológicas sobre assassinos em série. Algumas dessas hipóteses dizem respeito em geral a assassinos psicopatas, incluindo assassinos em série, e algumas referem-se especificamente a assassinos em série. As seguintes afirmações são usadas como hipóteses principais neste estudo:
1. Ênfase nos signos mutáveis, especialmente o signo lunar [1].
2. Ênfase em certos aspectos da Lua, como os aspectos Lua-Saturno [2].
3. Ênfase no signo de Peixes, 12ª casa ou Netuno [3].
Outros fatores astrológicos também são mencionados em relação aos psicopatas. Uma vez que os assassinos em série são um subgrupo da categoria mais ampla de psicopatas, essas alegações são adicionadas aqui como hipóteses menores:
4. Aspectos de “estresse” de Marte: Marte-Saturno e especialmente Marte-Netuno [3].
5. Aspectos Lua-Quíron e Marte-Quíron [4].
Para testar essas hipóteses, é necessária uma grande amostra de registros de nascimento publicados de assassinos em série. Um registro de nascimento completo consiste no ano de nascimento, data, local e hora. Apenas duas fontes parecem estar disponíveis: a coleção do AstroDatabank de Lois Rodden [5], que contém dados de nascimento completos e classificados, e uma publicação astrológica que cita certidões de nascimento. Infelizmente, o número de assassinos em série masculinos disponível nessas fontes é bastante limitado (setenta e sete poderiam ser selecionados). Portanto, ampliei a amostra incluindo todos os assassinos em série mencionados em três fontes da Internet [6,7,8], desde que atendam aos critérios de seleção, que datas de nascimento e locais estejam disponíveis e que os nomes ainda não estejam incluídos no conjunto de dados com horários de nascimento conhecidos. Essas fontes foram escolhidas porque frequentemente mencionam a data e o local de nascimento (sem hora), bem como biografias extensas de muitos assassinos em série. Usando apenas os nomes fornecidos nas fontes mencionadas, este estudo pode ser repetido por outros investigadores.

Método
Amostra
Conjunto de dados de assassinos em série com hora de nascimento conhecida.
Os registros de nascimento foram obtidos de duas fontes atualmente disponíveis: AstroDatabank e uma publicação astrológica (Lasseter & Holliday, 1999). A categoria ‘homicida em série’ no AstroDatabank não é baseada na definição de um assassino em série do NIJ. Vários assassinos, como assassinos em massa e ladrões de banco e terroristas também estão incluídos nesta categoria. Portanto, o seguinte método de seleção foi aplicado.
Primeiramente, foi feita uma consulta no AstroDatabank para selecionar todos os homens da categoria ‘Série de homicídios’ com dados de nascimento confiáveis e nascidos depois de 1800. Isso rendeu 97 homens. Em seguida, um filtro foi aplicado aos termos da categoria “terrorista”, “máfia” e “nazi”. O grupo restante de 91 homens é mostrado no Apêndice B. A verificação com biografias na Internet e na Enciclopédia de Assassinos em Série, usando a lista de verificação no Apêndice A, revelou que este grupo contém 10 assassinos violentos, 4 casos de assalto à mão armada, 7 outros múltiplos assassinos e um caso não comprovado. Três casos são homicídios isolados, erroneamente categorizados como assassinos em série. Uma inspeção posterior no AstroDatabank revelou que as categorias “homicídio único” e “homicídio múltiplo” continham três assassinos em série, e eles foram adicionados à lista no Apêndice B.
A publicação astrológica contém 47 assassinos do sexo masculino de vários tipos: homicídio único, em massa, farra e assassinos em série. A maioria deles (36) já foi mencionada no AstroDatabank e oito dos casos restantes são ‘serial killers’ não mencionados no AstroDatabank. Eles foram adicionados ao conjunto de dados com horários de nascimento conhecidos (Apêndice B, bloco inferior). Um total de 77 ‘serial killers’ é assim obtido e usado no presente estudo. O Apêndice B especifica todos os nomes, incluindo os nomes rejeitados e os motivos da rejeição.
Conjunto de dados de assassinos em série com hora de nascimento desconhecida
A enciclopédia de assassinos em série (Newton, 2006) contém nomes e biografias, bem como uma tipologia, mas datas de nascimento e locais são mencionados apenas ocasionalmente. Nos seguintes sites da Internet, dados de nascimento e biografias de assassinos em série são frequentemente disponível: a Wikipedia lista de assassinos em série por país, para muitos dos quais são fornecidos dados de nascimento [6]; em crimelibrary.com [7], grandes biografias podem ser acessadas a partir da lista completa de ‘serial killers’ e o site dos estudantes da Radford University publica cronogramas de ‘serial killers’ que podem ser usados para pesquisa científica [8].
Coletei todos os nomes desses três sites, eliminei os nomes múltiplos e coloquei-os na tabela mostrada no Apêndice C. Os dados de nascimento foram adicionados, se disponíveis, em um dos três sites mencionados ou em outros sites. Os nomes já mencionados no conjunto de dados de horários de nascimento conhecidos são marcados e não foram processados. Depois de aplicar a lista de verificação (Apêndice A), um total de 216 assassinos em série restantes da tabela do Apêndice C são usados para o presente estudo. Apliquei 12h00 como hora do nascimento para minimizar a margem de erro. Isso resulta em uma margem de cerca de 6˚ na eclíptica para a Lua e cerca de ½˚ para o Sol, Mercúrio e Vênus. Como os signos eclípticos medem 30˚ cada, isso é uma boa aproximação para os fatores de movimento lento, enquanto o signo lunar terá uma incerteza de cerca de 12%. Para aspectos da Lua, a incerteza é maior, dependendo da largura do orbe; a probabilidade de uma contagem “falsa” é de cerca de 25%. Essa insegurança, somada ao fato de faltarem índices de confiabilidade, a interpretação dos resultados para este grupo deve ser feita com cautela.
Grupo de controle
Para testar a hipótese de que certos fatores astrológicos são frequentes ou infrequentes entre assassinos em série, um grupo de controle adequado é essencial para fazer uma comparação. As amostras de controle devem ser obtidas de tal forma que a possibilidade de artefatos na comparação possa ser descartada. Os artefatos podem ser causados por efeitos demográficos (variações sazonais e diurnas nas frequências de nascimento) e efeitos astronômicos (as posições planetárias variam de acordo com a hora do dia, o ano e a localização geográfica).
O AstroDatabank está equipado com vários métodos de embaralhamento para obter grupos de controle muito grandes para eliminar artefatos. O método consiste em embaralhar aleatoriamente (com substituição) os anos, datas, locais e horários do grupo experimental e calculando artificialmente as posições planetárias para cada nascimento. Este método é sólido, mas deve ser aplicado com cautela. Quando as datas do ano são reproduzidas (portanto, um nascimento em 6 de novembro de um ‘serial killers’ gera nascimentos em 6 de novembro no grupo de controle), isso irá reproduzir alguns efeitos astrológicos presentes no grupo experimental. As datas de nascimento dos ‘serial killers’ podem mascarar a variação sazonal na população em que nasceram. A menos que haja motivos para supor que os ‘serial killers’ nascem em outras épocas do ano em comparação com a população em geral, esse método tem suas limitações. Outro problema surge quando a amostra experimental é relativamente pequena, como no presente estudo. Por exemplo, no conjunto de dados de 77 ‘serial killers’ (veja a Figura 2), há quase quatro vezes mais nascimentos em novembro do que em outubro. Esta diferença não pode ser atribuída a nenhuma sazonalidade subjacente porque as variações sazonais dos nascimentos estão geralmente na faixa de apenas ± 20% de desvio da média anual. O problema é que os métodos de embaralhamento reproduzem essas variações enormes e não naturais no grupo de controle como um artefato.
Um problema relacionado surge quando existem efeitos astrológicos genuínos ocultos nos dados de nascimento. Por exemplo, suponha que 50% dos assassinos nasçam com Sol, Marte e Júpiter em Áries. Novamente, os métodos de embaralhamento irão reproduzir amplamente essas configurações no grupo de controle e, assim, mascarar os efeitos astrológicos potenciais no grupo experimental. Um grupo de controle adequado deve refletir as variações demográficas de pessoas nascidas nos mesmos anos e locais dos assassinos em série. Para evitar esse problema, uma amostra de controle separada de assassinos não seriais seria necessária, mas isso é difícil de obter na prática. Nesse caso, entretanto, muitos nascimentos de pessoas nascidas aproximadamente nos mesmos anos e países que os assassinos em série (ver Figura 1 e Tabela 1) estão disponíveis no AstroDatabank. Esses indivíduos podem ser amostrados e, como tal, representam um grupo de controle independente retirado das mesmas populações dos assassinos em série.
Pode ser muito instrutivo comparar os resultados usando métodos diferentes para gerar grupos de controle. Usei três métodos diferentes:
Ctrl1. Grupo de controle independente de 6.000 pessoas retiradas do AstroDatabank (método especificado no Apêndice D).
Ctrl2. Grupo de controle de 10.000 dados de nascimentos artificiais obtidos por anos, meses, dias, horários e localizações de todos os assassinos em série independentemente.
Ctrl3. Grupo de controle de 10.000 dados de nascimento artificial obtidos por anos, datas, horas e locais embaralhados independentemente. Meses e dias são acoplados e reproduzidos; assim, um nascimento em 6 de novembro no grupo experimental é também um nascimento em 6 de novembro no grupo de controle.
Cada um desses métodos tem prós e contras. O método Ctrl1 é muito trabalhoso (veja Apêndice D). Ctrl2 controla a sazonalidade porque as variações sazonais podem ser amplamente imitadas por números mensais nos quais os dias do mês não importam substancialmente. A reprodução dos tempos de nascimento controla as variações diurnas. Ctrl3 controla as variações sazonais e diurnas, mas reproduz exatamente os graus eclípticos do Sol, o que também reproduz algumas posições de outros planetas e de aspectos. Para controlar esse efeito, uma pequena variação no ano de nascimento foi permitida envolvendo também os dois anos adjacentes. Assim, para um nascimento em 1954, consideramos 1954 ou 1953 ou 1955, cada um com igual probabilidade.
Todos os métodos de embaralhamento têm em comum o fato de serem derivados da amostra experimental e, como tal, reproduzir parte de seu conteúdo. Este não é o caso do grupo de controle independente de pessoas reais.
As amostras de controle devem ser muito grandes para reduzir a contribuição relativa das flutuações aleatórias. Quanto maior a amostra, melhores serão as estimativas das frequências teóricas. As amostras de controle são usadas para aplicar métodos de ‘bootstrap’ para gerar traços de densidade para estimar os níveis de significância e as amostras de controle devem ser muito grandes também para este propósito.
Além dos métodos de embaralhamento, um procedimento de mudança é aplicado para controlar os artefatos demográfico-astronômicos. As datas de nascimento dos assassinos em série mudam acrescentando mais dias para frente ou para trás no tempo. Variáveis astrológicas e estatísticas são calculadas para cada amostra deslocada no tempo.
Fatores astrológicos
Os dados de nascimento dos grupos experimental e de controle foram colocados num software astrológico programado para fins de pesquisa [9] para calcular as posições eclípticas dos fatores astrológicos: Sol, Lua, planetas, Ascendente (ASC), Meio do Céu (MC), Sistema de Casas (1 a 12) Placidus e as separações angulares ao longo da eclíptica (aspectos) entre os fatores. Alguns desses aspectos são considerados especialmente importantes: 0°, 60°, 90°, 120° e 180°, com uma margem (“orbe”) em ambos os lados desses ângulos. Alguns autores aplicam um orbe pequeno de 6° para todos os aspectos, mas outros, como Liz Greene, aplicam um orbe mais largo de até 10°, especialmente para os aspectos de 0° e 180°, e um orbe menor de 6° para o aspecto de 60°. Para permitir a comparação, apliquei dois conjuntos para as larguras da orbe: um conjunto de orbes pequenas de 6° para todos os aspectos e um conjunto de orbes mais largas com 10° para os aspectos de 0° e 180°, de 8° para os aspectos de 90° e 120° e de 6° para o aspecto de 60°.
Os principais fatores do horóscopo, ou os chamados pessoais, Sol (SO), Lua (MO), Mercúrio (ME), Vênus (VE) e Marte (MA) e o Ascendente (ASC), a interseção do horizonte oriental com a eclíptica na hora do nascimento. Eles se movem relativamente rápido ao longo da eclíptica. Porém, Urano (UR), Netuno (NE) e Plutão (PL) se movem muito lentamente (em média 4°, 2° e 1° por ano, respectivamente) para fazer comparações nos signos eclípticos. Júpiter (JU) e Saturno (SA) se movem cerca de 30° e 12° por ano, respectivamente, ocupando uma posição intermediária no envolvimento de todas as análises. Urano, Netuno e Plutão não foram ignorados com respeito às posições do setor diurno (casas) e aspectos.
Análise estatística
Testar a hipótese nula, de que as frequências dos fatores astrológicos na amostra de assassinos em série não se desviam das frequências esperadas (população), implica que devemos calcular cuidadosamente as frequências esperadas das proporções no grupo de controle e aplicar testes estatísticos adequados.
Uma das hipóteses a serem testadas é a frequência clara dos oito fatores astrológicos em signos mutáveis. Essa frequência é obtida pela soma de SO, MO, ME, VE, MA, JU, SA e ASC (se disponível) em um signo mutável para cada indivíduo. A pontuação máxima de mutáveis por indivíduo é oito. A frequência total de mutáveis é então obtida pela soma de todos os indivíduos. Para testar se essa frequência total difere entre os assassinos em série e o grupo de controle, devemos estimar a probabilidade de ocorrer uma certa frequência total. Não podemos assumir ‘a priori’ que essa frequência seja normalmente distribuída, uma vez que estamos lidando com múltiplas variáveis correlacionadas, porque muitos fatores são medidos em cada sujeito em um ponto no tempo. Com o método ‘bootstrap’ é possível obter um traço de densidade, ou histograma, da frequência total de mutáveis. Esse histograma pode ser obtido tomando um grande número, digamos 500, de novas amostras com tamanho N (N = número de ‘serial killers’) retiradas com substituição do grupo de controle. Usando software estatístico adequado, podemos simplesmente derivar traços de densidade e estimativas de probabilidade para qualquer frequência obtida experimentalmente.
σ
- Figura 1. Histogramas de anos de nascimento nos conjuntos de dados de 77 assassinos em série com hora de nascimento conhecida (topo gráfico) e 216 assassinos em série sem hora de nascimento (gráfico inferior).
- Figura 2. Frequência de nascimentos por mês (corrigido para o número de dias por mês) no conjunto de dados de 77 assassinos em série com hora de nascimento conhecida (pontos), 216 assassinos em série sem hora de nascimento (triângulos) e na amostra total de 293 assassinos em série (blocos).
- Tabela 1. Número de nascimentos de assassinos em série por país e as frequências relativas (arredondado para o número inteiro mais próximo) derivado de um grupo de controle correspondente de 6.000 pessoas (Ctrl1) para permitir a comparação.
Procedimentos similares de ‘bootstrapping’ também podem ser aplicados para testar a frequência total das outras variáveis, como a pontuação na 12ª casa, Peixes e aspectos com Netuno.
Para testar a hipótese de que aspectos da Lua com cada um dos outros onze fatores (SO até Pl, AS e MC) estão se desviando significativamente da expectativa, devemos seguir uma abordagem ligeiramente diferente. Não queremos testar a frequência total dos aspectos da Lua porque alguns aspectos, como Lua-Saturno, devem ser frequentes, enquanto outros aspectos, como Lua-Júpiter, devem ser raros. Precisamos responder à pergunta se o desvio geral entre as frequências experimentalmente observadas e as frequências teoricamente esperadas (somadas sobre todos os aspectos) é grande o suficiente para rejeitar a hipótese nula. Este é, na verdade, um teste de adequação entre duas distribuições.
Como um índice de desvio geral das frequências esperadas, podemos tomar a soma das diferenças quadradas ponderadas nas frequências observadas e esperadas como uma boa medida para esta estatística de teste:

Esta é uma estatística de teste qui-quadrado unilateral em que O = frequência observada experimentalmente, E = frequência teoricamente esperada derivada do grupo de controle, i = índice do aspecto e m = número de categorias. Como a soma das frequências observadas deve ser igual à soma das frequências esperadas, m deve ser 12: onze aspectos mais a frequência de nenhum aspecto.
Quando o ajuste entre as frequências observadas e esperadas é perfeito, essa medida é zero e, no caso de as duas distribuições serem bastante diferentes, ela deve ser grande. Agora, para aproximar a probabilidade de um valor obtido experimentalmente para χ2, precisamos saber a distribuição da amostra desta estatística de teste. Uma vez que cada indivíduo tem zero, um ou mais aspectos da Lua, estamos lidando com múltiplas variáveis correlacionadas e a distribuição de probabilidade desta estatística de teste é, portanto, desconhecida [11]. Com os métodos de ‘bootstrap’, no entanto, é possível derivar estimativas de valores de p para qualquer valor da estatística de teste, e isso explica o efeito das variáveis correlacionadas. Portanto, é importante que as frequências de controle sejam bons estimadores das frequências teóricas da população.
Método Independent Bootstrap
As técnicas de ‘bootstrap’ são um meio ideal para resolver problemas relacionados a distribuições de probabilidade desconhecidas. O método ‘bootstrap’ para teste de hipótese é um teste estatístico baseado em frequência. Um extrai muitas reamostragens independentes (aleatórias com substituição) do grupo de controle independente para o qual a hipótese nula se mantém e calcula a estatística de teste por reamostragem. Um histograma, ou traço de densidade, desses valores simulados fornece uma estimativa da densidade de probabilidade da estatística de teste sob a hipótese nula. A proporção dos valores simulados excedendo o valor observado na amostra de ‘serial killers’ fornece uma estimativa de Monte Carlo do valor p da cauda superior.
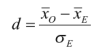
Os níveis de significância não fornecem informações sobre o tamanho de um resultado significativo de variáveis astrológicas. O tamanho do efeito de um resultado individual significativo, como a frequência total de mutáveis, pode ser calculado pelo delta de Glass:

definido como a diferença entre as médias (O = observado, E = esperado como derivado do grupo de controle) dividido pelo desvio padrão do grupo de controle. A média (x) é a frequência total da variável dividida por N (número de sujeitos) e o desvio padrão (σ) é calculado a partir das pontuações individuais de mutáveis no grupo de controle (Ctrl1, N = 6000). Esta fórmula se aplica a variáveis normalmente distribuídas; portanto, isso deve ser verificado por um teste de normalidade aplicado ao histograma de ‘bootstrap’. Um tamanho de efeito de ≤0,2 é pequeno, de 0,5 é médio e de ≥0,8 é grande.
A estimativa do tamanho do efeito do desvio geral das frequências de controle dos aspectos da Lua requer simulações que estão além do escopo deste estudo.
Resultados para assassinos em série com hora de nascimento conhecida
Hipótese 1
A Hipótese 1 afirma que os assassinos em série dão ênfase aos signos mutáveis, especialmente para o signo lunar. A Tabela 2 mostra as frequências observadas (painel superior) para 77 ‘serial killers’, juntamente com as frequências esperadas derivadas do grupo controle de nascimentos reais (Ctrl1). Para comparação, os totais de qualidade para os métodos Ctrl2 e Ctrl3 são mostrados abaixo dos totais para Ctrl1. Os painéis do lado direito mostram as frequências agrupadas nas três qualidades de signos mutáveis, cardinais e fixos.
Existe uma alta frequência total de mutáveis (235), e cada um dos oito fatores tem um excedente nos signos mutáveis. O histograma de ‘bootstrap’ na Figura 3 mostra a distribuição da amostra do total de fatores em signo mutável. De acordo com um teste de normalidade de ‘Shapiro-Wilk’ (p = 0,23), não podemos rejeitar a ideia de que o total mutável é normalmente distribuído. O valor experimental de 235 está na região superior de significância foram p = 0,002 (unicaudal), conforme indicado pelos valores críticos para as distribuições de melhor ajuste. A maior contribuição para o excedente (+32) de signos mutáveis vem da Lua (+8).
Esses resultados suportam a Hipótese 1. O tamanho do efeito para o excesso de mutáveis é 0,31 (delta de Glass), um tamanho que está entre pequeno e médio.
A baixa frequência de fatores em signos fixos é notável (p = 0,001, normal, bicaudal). Isso não foi previsto. Uma baixa frequência de signos fixos foi reivindicada apenas para Mercúrio.
Comparação de diferentes métodos de controle
Na Tabela 2 são dados os valores de ‘bootstrap’ p [13] para a comparação entre a frequência de mutáveis em ‘serial killers’ e os demais métodos de controle de frequências por signo mostram diferenças relativamente grandes entre os três grupos de controle em algumas células. Essas diferenças são calculadas em sua maior parte nas frequências das três qualidades: a comparação com todos os três métodos de controle indica um resultado altamente significativo. O método de controle 3 fornece o efeito mais baixo, um resultado que provavelmente surge da reprodução das combinações de dia-mês.
Hipótese 2
A Hipótese 2 afirma que a distribuição de frequência dos aspectos lunares em ‘serial killers’ desvia da distribuição de frequência dos aspectos lunares no grupo de controle. Em outras palavras, alguns aspectos, como Lua-Saturno, devem ser frequentes e alguns outros aspectos, como Lua-Júpiter, raros, de forma que o desvio sobre todos os aspectos seja significativo. Observe que isso não significa que se espera que a frequência total dos aspectos da Lua seja alta.
Como mencionado anteriormente, apliquei dois conjuntos de larguras de orbe, orbes pequenos e orbes largos. Os resultados são apresentados na Tabela 3. A Figura 4 representa o histograma ‘bootstrap’ da estatística de teste de adequação para os totais de aspecto da Lua (Tabela 3, linha ‘Total’, incluindo sem aspecto). O valor de χ2 correspondente para os ‘serial killers’ é altamente significativo para as orbes pequenos e largos (orbes largos: χ2 = 19,4, ‘bootstrap’ p <0,005). Os aspectos frequentes da Lua para MC, Saturno e os aspectos raros para o Sol têm uma grande participação neste resultado. Quando excluímos Ascendente e MC desta análise (considerando os aspectos totais com planetas apenas), o resultado permanece significativo (χ2 = 10,9, ‘bootstrap’ p = 0,05).
Esses achados apoiam a Hipótese 2. Aspectos Lua-Saturno são frequentes, de acordo com a afirmação (Greene), e esse resultado é individualmente significativo (p = 0,03, teste t, unicaudal). Os aspectos Lua-MC (p = 0,001, teste t, bicaudal) contribuem mais, mas esse achado não é previsto por nenhuma hipótese.
σ
- Tabela 2. Três Qualidades (C = Cardinal, F = Fixo, M = Mutável).
- Figura 3. Histograma de valores de bootstrap do total de 8 fatores em Mutável (Ctrl 1).
- Figura 4. Histograma de valores de ajuste do qui-quadrado para dados correlacionados (totais de aspecto da lua) (Ctrl1).
Na Tabela 3 (orbes largas, linhas inferiores), os valores de χ2 e os valores de p associados são dados para a comparação dos aspectos observados da Lua com aqueles de diferentes métodos de controle. Percebe-se que praticamente não há diferença entre os três grupos de controle, e os resultados permanecem significativos em todos os casos. Todos os aspectos têm quase a mesma probabilidade.
Hipótese 3
A Hipótese 3 afirma que o 12º princípio é enfatizado. O 12º princípio é representado pelo 12º signo de Peixes, a 12ª casa e por Netuno, o planeta que os astrólogos associam a ambos. Visto que Peixes é um signo mutável, esta parte da hipótese se sobrepõe à Hipótese 1. A frequência dos planetas em Peixes e na 12ª casa pode ser posta à prova diretamente, mas colocar Netuno em uma forma testável é menos ambíguo. Mais mencionados neste contexto são aspectos de Netuno, especialmente os aspectos de “estresse” [3]. Portanto, testarei se os aspectos de estresse em Netuno são frequentes.
σ
- Tabela 3. Frequência dos aspectos da Lua para 77 assassinos em série com hora de nascimento conhecida.
- Tabela 4. Painel superior: frequências de 10 fatores em 12 casas para 77 assassinos em série com nascimento conhecido Tempo.
12ª Casa
A Tabela 4 mostra as frequências obtidas de ‘serial killers’ (painel superior) e as frequências teoricamente esperadas (painel inferior) nas doze casas Placidus. A Tabela 5 apresenta a frequência dos planetas na 12ª casa separadamente. A Figura 5 mostra que a frequência total da 12ª casa é significativamente alta. Netuno e, em segundo lugar, Marte são os que têm maior participação nesses resultados. A distribuição na Figura 5 não se desvia significativamente do normal (‘Shapiro-Wilk’, p = 0,57). Pode-se observar na Tabela 5 que a frequência da 12ª casa é significativamente alta em comparação com todos os métodos de controle. O tamanho do efeito para a frequência da 12ª casa é 0,31 (delta de Glass).
Análogo às três qualidades de Cardinal, Fixo e Mutável, existem três tipos de casas: Angular (1, 4, 7, 10) que corresponde aos signos cardinais, Sucedente (2, 5, 8, 11) correspondendo aos signos fixos e Cadente (3, 6, 9, 12) correspondendo aos signos mutáveis. A Tabela 4 (painéis à direita) mostra o resultado para esses tipos de casas. As casas cadentes (especialmente a 12ª) são frequentes e as casas sucedentes (especialmente a 5ª) são infrequentes, correspondendo à baixa pontuação de planetas em signos fixos. A descoberta paralela de signos mutáveis frequentes e casas cadentes frequentes é notável, mas não foi prevista.
Peixes
A frequência total de Peixes (55, Tabela 2) é relativamente grande, mas isso não é significativo (‘bootstrapp’ = 0,15, distribuição normal, unilateral).
Aspectos do estresse de Netuno
A Tabela 6 apresenta os resultados para aspectos de “estresse” (0°+90°+180°) de Netuno. A frequência é significativamente maior do que o esperado em comparação com os grupos de controle, mostrado na Figura 6.
σ
- Tabela 5. Frequência dos planetas na 12ª casa comparada com as frequências correspondentes derivadas dos três métodos de controle.
- Tabela 6. Aspectos de “estresse” de Netuno em 77 serial killers com horário de nascimento disponível.
- Figure 5. Histograma de frequências de bootstrap para o total de dez fatores na 12ª casa (Ctrl1).
- Figure 6. Histograma de frequências de bootstrap para o total de aspectos de “estresse” com Netuno (Ctrl1).
Resultados para os serial killers sem hora de nascimento
O conjunto de dados de 216 assassinos em série sem horário de nascimento foi analisado da mesma maneira que a primeira amostra. Um cálculo do grau do Ascendente e da distribuição de casas não é possível sem uma hora de nascimento e, portanto, foi ignorada. As frequências esperadas foram derivadas de um novo grupo de controle (Ctrl1, N = 6000), porque os anos de nascimento são diferentes do grupo com hora de nascimento conhecida (ver Figura 1).
Hipótese 1
A Tabela 7 mostra os resultados para os doze signos. A frequência total dos sete fatores em signos mutáveis (570) é significativamente alta, como pode ser visto na Figura 7. Sagitário é responsável pela maior parte desse resultado. Em contraste com as descobertas do grupo com horários de nascimento conhecidos, os maiores contribuintes para o excesso são Júpiter e Marte. A frequência total de mutável é significativa em comparação com cada método de controle. O tamanho do efeito deste resultado é 0,25 (delta de Glass). De acordo com o achado anterior nos ‘serial killers’ com horários de nascimento disponíveis, não podemos rejeitar a Hipótese 1.
Hipótese 2
Os aspectos da Lua para os assassinos em série sem horários de nascimento são mostrados na Tabela 8. Aspectos do Ascendente e MC são desconhecidos.
σ
- Figura 7 .Histograma dos valores do bootstrap no total de sete fatores em mutável.
- Figura 8. Frequência de aspectos da Lua para 216 assassinos em série com hora de nascimento desconhecida (Ctrl1).
- Tabela 7 . Frequência observada dos fatores nos 12 signos e nas três qualidades (Ctrl1).
- Tabela 8. Frequência de aspectos da Lua para 216 assassinos em série com hora de nascimento desconhecida.
A distribuição dos totais do aspecto da Lua não é significativa (χ2 = 9,5, ‘bootstrap’ p = 0,13). Este resultado não confirma as descobertas significativas com o conjunto de dados de horários de nascimento conhecidos. A diferença entre os dois conjuntos de dados será analisada na próxima seção.
Resultados para toda a amostra
Os conjuntos de dados de 77 ‘serial killers’ com horário de nascimento disponível e 216 ‘serial killers’ com horário de nascimento desconhecido são mutuamente exclusivos e podem ser reunidos para formar uma amostra de 293 serial killers diferentes para os quais pelo menos a data e o local de nascimento são conhecidos. Além disso, analisarei o quão bem os resultados para os dois conjuntos de dados separados se assemelham.
σ
- Figura 9. Totais de oito fatores por signo para toda a amostra de 293 assassinos em série (Ctrl1).
- Tabela 9. Aspectos de estresse (0°+90°+180°) orbes largas de Netuno.
- Tabela 10. Frequência de fatores em 12 signos e três qualidades para toda a amostra de 293 serial killers (Ctrl1).
Hipótese 1
Na Tabela 10, são apresentados os resultados de toda a amostra de 293 assassinos em série. A frequência total dos fatores astrológicos em signos mutáveis é altamente significativa (‘bootstrap’ p = 1E-6; ver Figura 8). Júpiter, Marte e a alta frequência do signo de Sagitário são os que têm maior participação neste resultado. O tamanho do efeito é 0,26 (delta de Glass). Esse achado apoia a Hipótese 1.
Os signos fixos mostram um déficit muito significativo (‘bootstrap’ p = 0,0005), que é causado principalmente pelo Sol, Marte e Júpiter e pela baixa frequência do signo Leão.
Na Figura 9, os totais por sinal (da Tabela 10) são plotados por radar como desvio percentual em relação às frequências teoricamente esperadas derivadas de Ctrl1.
Ambos os conjuntos de dados, com horários de nascimento conhecidos e sem horários de nascimento, mostram um excesso muito significativo de fatores em signos mutáveis. Uma questão importante a ser respondida é quão bem os dois conjuntos de dados correspondem em detalhes. A Figura 10 mostra os resíduos ponderados por sinal para os dois conjuntos de dados e toda a amostra. O grande excedente dos signos mutáveis Sagitário e Peixes e o grande déficit dos signos fixos Touro e Leão são reproduzidos. A maioria dos outros signos se reproduz muito bem, mas Capricórnio e Aquário não. As qualidades de Cardeal e Fixo mostram algumas diferenças que são principalmente devidas aos signos de Capricórnio (um grande excesso no conjunto de horários de nascimento conhecidos) e Aquário (um grande déficit no conjunto de horários de nascimento conhecidos).
Para investigar se as diferenças entre os dois conjuntos de dados são significativas ou não, apliquei um teste qui-quadrado de duas vias (2 x K) para comparar as duas distribuições de frequência observadas sobre os sinais (K = 12) e sobre as qualidades (K = 3). A Tabela 11 mostra os resultados. Apenas Júpiter nas Qualidades é significativamente diferente, e isso se deve a um grande excesso de signos mutáveis no conjunto de horários de nascimento desconhecidos. Os outros valores de p estão acima do nível necessário para significância, indicando que podemos aceitar a hipótese nula de que os dois conjuntos de dados não apresentam resultados diferentes.
Hipótese 2
Os aspectos da Lua para toda a amostra são mostrados na Tabela 12. O qui-quadrado g.o.f. do valor para os totais de aspecto é altamente significativo, conforme mostrado na Figura 11 (orbes largas: χ2 = 21,6, ‘bootstrap’ p = 0,0005; orbes pequenas: χ2 = 19,3, ‘bootstrap’ p = 0,002).
σ
- Figure 10. Totais de sete fatores (sem Ascendente) por signo e qualidade, plotados como desvio ponderado (%) das frequências teóricas derivadas de grupos de controle (Ctrl1).
- Figura 11. Histograma de valores de qualidade de ajuste qui-quadrado para dados correlacionados (total de aspecto da lua) (Ctrl1).
- Tabela 11. Comparação entre os conjuntos de dados de tempos de nascimento conhecidos e desconhecidos para fatores nos signos e nas qualidades.
- Tabela 12. Frequência dos aspectos da Lua para toda a amostra de 293 assassinos em série.
O déficit de aspectos Lua-Marte e o excedente de aspectos Lua-MC têm mais peso neste resultado, mas esses desvios não foram previstos. Os resultados permanecem significativos quando Ascendante e MC são excluídos da análise (χ2 = 14,4, ‘bootstrap’ p = 0,01). Os poucos aspectos com Mercúrio e Marte e o excesso de aspectos Lua-Saturno contribuem mais para isso. O excesso de Lua-Saturno não é individualmente significativo, no entanto. Assim, podemos concluir que os aspectos da Lua se desviam da expectativa, confirmando a Hipótese 2, embora os aspectos específicos que mais se desviam sejam imprevisíveis. A comparação dos aspectos da Lua para os dois conjuntos de dados na Figura 12 mostra que a amplitude dos excessos e déficits é muito maior no conjunto de dados de horários de nascimento conhecidos do que aqueles de horários de nascimento desconhecidos. Este achado pode ser devido à margem de erro de cerca de 6° para a posição da Lua no grupo sem horários de nascimento. O gráfico de barras mostra que o sinal do desvio (excesso ou déficit) é igual em ambos os conjuntos de dados, exceto para aspectos Lua-Marte.
A semelhança dos perfis dos aspectos da Lua nos dois grupos experimentais é testada com um teste qui-quadrado de duas vias (2 x 10). Os resultados são apresentados na Tabela 13. O resultado não é significativo e rejeitamos a ideia de que as duas distribuições são diferentes.
Hipótese 3
Peixes
A frequência total do signo de Peixes (194, consulte a Tabela 10) é apenas marginalmente significativa, conforme apresentado graficamente na Figura 13.
Aspectos de estresse de Netuno
A Tabela 14 mostra os resultados da comparação dos aspectos de estresse de Netuno de todos os assassinos em série e as frequências teóricas derivadas de três métodos de controle. A frequência total de aspectos de estresse de Netuno é significativamente alta em comparação com o valor correspondente derivado de grupos de controle. O tamanho do efeito é apenas fraco (0,14, delta de Glass).
Este resultado é consistente em ambos os grupos de horários de nascimento conhecidos e desconhecidos (ver Tabelas 6 e 9).
Hipótese 4
A Hipótese 4 afirma que os aspectos de estresse (0°, 90° e 180°) de Marte com Saturno e especialmente Netuno devem ser frequentes em assassinos em série. A Tabela 15 mostra os resultados para toda a amostra de 293 assassinos em série. Os aspectos Marte-Saturno e Marte-Netuno são tão frequentes quanto o esperado. Os outros aspectos de estresse de Marte com planetas lentos são praticamente os que poderiam ser teoricamente esperados.
σ
- Figure 12. Total de aspecto da lua (orbes largas) plotados como desvio percentual das expectativas teóricas derivadas do grupo de controle (Ctrl1).
- Figura 13. Histograma de frequências de bootstrap para o total de fatores em Peixes (Ctrl1).
- Tabela 13. Comparação do total de aspectos da Lua para o conjunto de dados com horários de nascimento conhecidos e o conjunto de dados com horários de nascimento desconhecidos.
Hipótese 5
A Hipótese 5 afirma que os aspectos Lua-Quíron e Marte-Quíron são frequentes entre os assassinos em série. A Tabela 16 mostra aspectos de Chiron com fatores de movimento rápido para a amostra combinada de 197 ‘serial killers’. Lua-Quíron e Marte-Quíron são tão frequentes quanto se poderia esperar apenas do acaso, e isso também vale para os outros aspectos com Quíron.
Resultados do controle de turno
A Figura 14 mostra a frequência total de fatores em signos mutáveis (linha grossa, eixo esquerdo) e a estatística de teste de adequação de aspectos da Lua (linha fina, eixo direito) por magnitude de deslocamento em dias a partir dos nascimentos originais de 293 assassinos em série.
A frequência de mutável é máxima nos nascimentos originais e diminui na direção positiva e negativa a partir do deslocamento zero. Os picos secundários nas mudanças de 7 dias estão provavelmente relacionados à Lua, que muda 3 signos nesta magnitude de mudança. A estatística do teste de adequação para os aspectos da Lua mostra apenas um pico nas datas de nascimento originais. Não há nivelamento gradual, uma vez que a Lua progride relativamente rápido. Esses resultados demonstram que artefatos demográficos e astronômicos não explicam os resultados significativos dessas variáveis.
σ
- Figura 14. Efeito da alteração das datas de nascimento no tempo de toda a amostra de 293 assassinos em série.
- Tabela 14. Aspectos estressantes de Netuno para toda a amostra de 293 assassinos em série.
- Tabela 15. Aspectos estressantes de Marte com planetas de movimento lento em 293 assassinos em série (orbes largas).
- Tabela 16. Comparação entre as frequências de aspectos obtidas experimentalmente do planetoide Chíron (CH) em 293 serial killers.
Conclusão e Discussão
Neste estudo, testei três hipóteses principais e duas hipóteses secundárias de astrólogos sobre assassinos em série. Dados com hora de nascimento confiável foram selecionados do AstroDatabank [5] e de Lasseter & Holliday, e dados sem hora de nascimento de várias fontes relevantes da Internet [6,7,8]. Com antecedência, fiz uma lista de verificação para os critérios de seleção, porque não existem limites claros entre os diferentes tipos de assassinos múltiplos.
Os resultados apoiam as principais hipóteses. As duas hipóteses secundárias não encontraram suporte.
Se considerarmos os fatores celestiais Sol, Lua, Mercúrio, Vênus, Marte, Júpiter e Saturno e também o Ascendente, os assassinos em série mostram uma ênfase muito maior nos signos mutáveis do que o esperado (p = 1E-6). Marte e Júpiter são os que mais contribuem para o excesso de mutável. A previsão ‘especialmente para o signo lunar’ foi confirmada no grupo com dados de nascimento cronometrados, mas não no grupo com falta de horário de nascimento.
Em segundo lugar, descobri que a distribuição dos aspectos entre a Lua e os outros fatores desviou-se da expectativa (p = 0,0005). Uma alta frequência de Lua-MC e uma baixa frequência de aspectos Lua-Marte são os principais contribuintes. Desvios desses aspectos específicos não foram previstos. Uma alta frequência de aspectos Lua-Saturno é observada apenas no conjunto de dados com horários de nascimento conhecidos. A baixa frequência de aspectos de Marte é observada apenas no grupo com horários de nascimento desconhecidos.
Em terceiro lugar, encontrei uma frequência muito maior de fatores celestes na 12ª casa do que o esperado. Netuno, na teoria astrológica o planeta correspondente a esta casa, contribui mais. Além disso, observamos uma alta frequência de Peixes (apenas marginalmente significativo) e muito mais “aspectos de estresse” de Netuno do que o esperado.
Com relação às duas hipóteses menores, ‘aspectos de estresse’ de Marte com planetas de movimento lento (Júpiter, Saturno, Urano, Netuno e Plutão) não se desviam significativamente das frequências teoricamente esperadas, e os aspectos do planetoide Quíron com os fatores pessoais (Sol, Lua, Mercúrio, Vênus e Marte) não se desviam do que poderia ser esperado apenas pelo acaso.
Uma vez que cinco hipóteses foram testadas, o nível alfa deve ser definido em 0,05 / 5 = 0,01 para que qualquer hipótese seja genuinamente significativa. Signos mutáveis (p = 1E-6), aspectos da Lua (p = 5E-4), a 12ª casa (p = 0,008) e aspectos de estresse de Netuno (p = 0,008) são todos genuinamente significativos, implicando que o resultado geral sobre cinco hipóteses é significativo. As Hipóteses 1 e 3 se sobrepõem parcialmente, o que implica que a frequência de Peixes não deve ser contada novamente na Hipótese 3.
Os resultados devem de fato ser direcionados aos efeitos astrológicos ou a outros fatores? Poderia haver um viés de seleção sério?
Uma possibilidade é que os assassinos em série mencionados nas fontes de dados sejam pré-selecionados para se adequar às suposições astrológicas. Isso não pode ser completamente excluído para os ‘serial killers’ mencionados nas fontes com data de nascimento conhecida. A hora do nascimento é geralmente coletada por astrólogos ou pessoas com interesse astrológico, e a publicação pode ocasionalmente ser omitida quando o gráfico não se encaixa nas ideias preconcebidas de como um gráfico de assassino em série deveria ser. As fontes utilizadas da Internet podem ser consideradas como totalmente isentas de tal preconceito. É importante que a comparação entre o conjunto de dados da Internet e o conjunto de dados com hora de nascimento conhecida não revele diferenças significativas. Isso indica que o viés de seleção, se houver, é muito pequeno.
Minha própria escolha de selecionar alguns dados e eliminar outros foi em alguns casos arbitrária, onde não era inequívoco pelas biografias que tipo de assassino é um sujeito. Outros investigadores podem ter feito outras escolhas. Nesses casos, determinei a porcentagem da pontuação nos itens da lista de verificação do ‘serial killer’ fornecida no Apêndice A e selecionei o tipo de assassino que tinha a pontuação mais alta. Como isso foi feito de antemão de acordo com critérios circunscritos, não enviesou a investigação em bases astrológicas e não pode ter levado a erros sistemáticos.
A insegurança da posição eclíptica da Lua no conjunto de dados com falta de hora de nascimento pode ser responsável pelo menor efeito da Lua neste conjunto de dados em comparação com o conjunto de dados com hora de nascimento conhecida. Isso vale para as frequências da Lua em signos mutáveis (Hipótese 1) e para os aspectos da Lua (Hipótese 2). O valor dos aspectos da Lua (sem Ascendente e MC) é 0,05 no conjunto com hora de nascimento conhecida versus p = 0,13 no conjunto com hora de nascimento desconhecida, embora o segundo conjunto seja muito maior. Pode-se argumentar que isso implica que o resultado não é reproduzível e não é significativo em geral. No entanto, os aspectos da Lua em toda a amostra são significativos (p = 0,0005) e os excessos ou déficits são semelhantes em ambos os conjuntos de dados (exceto para os aspectos Lua-Marte, consulte a Figura 12). O fato de que os desvios de aspectos específicos são qualitativamente semelhantes, mas quantitativamente menos, leva à conclusão de que a insegurança da Lua é a candidata mais provável para o pequeno tamanho do efeito no conjunto de horários de nascimento ausentes.
A suposição dos astrólogos Liz Greene e do falecido Howard Sasportas, de que a Lua desempenha um papel significativo nos mapas de nascimento de assassinos em série no que diz respeito aos signos e aspectos, não pode ser rejeitada com base nas presentes descobertas. Os tamanhos de efeito da Lua por signo e por aspecto são, no entanto, pequenos. A descoberta de Liz Greene de aspectos frequentes da Lua 120° – Saturno entre ‘serial killers’ é substanciada nos conjuntos de dados presentes, mas a frequência nem mesmo é individualmente significativa. A sugestão de Liz Greene de que os aspectos Lua-Saturno são mais eficazes em aspectos mistos, como a combinação com aspectos Lua-Netuno, precisa de um estudo mais aprofundado.
A descoberta adicional de uma baixa frequência significativa de signos fixos não é prevista pelos astrólogos, exceto para Mercúrio. Argumentou-se que os psicopatas teriam um baixo limite de empatia e déficit de atenção, e Mercúrio em signos mutáveis, por analogia, se encaixaria nessa característica. No entanto, a baixa frequência dos signos fixos é causada principalmente pelo Sol, Marte e Júpiter, não por Mercúrio. Signos mutáveis e signos fixos são opostos na analogia astrológica. A baixa frequência observada da combinação signos fixos – casas sucedentes, que são correspondentes na teoria astrológica, e a alta frequência da combinação signos mutáveis - casas cadentes, também correspondentes, estariam de acordo com esta analogia.
δ
References
Aamodt, M. (2008). “Serial killers”.
Apsche, J. (1993). Probing the mind of a serial killer. International information Associates.
Bollen, K.A. (1992). “Bootstrapping goodness-of-fit measures in Categorical Data Analysis”. Sociological Methods & Research, Vol. 21, No. 2, 205-229.
Becker, L. (2000). “Effect size, II. Effect size measures for two independent groups”.
Greene, L. & Sasportas, H., (1987). The development of the personality. York Beach. Me: Weiser. a. Chart interpretation for Bruce; by Liz Greene. b. Childhood Stadia: the oral stadium; by Howard Sasportas.
Greene, L. (2003). The dark of the soul. CPA Press, London.
Greene, L. (2000). The astrological Neptune and the quest for redemption. York Beach. Me: Weiser: Neptune in the 12th house, page 406.
Holmes, R.M. (1996). Profiling Violent Crimes. Sage Publications.
Lasseter, D. & Holliday, D. (1999). Zodiac of death. Berkley Books, New York.
Marks, Robert J. (2002). “Frequencies of Various Aspects in the Horoscopes of Murderers and Serial Killers vs. Those of Randomly Generated Control Groups”, Astrology Research Journal, edition 8-27.
Newton, M. (2006). The Encyclopedia of Serial Killers 2nd edition, Checkmark Books, New York.
Roenneberg, T. & Aschoff, J. (1990). “Annual Rhythm of Human Reproduction: I. Biology, Sociology, or Both?”. Journal of Biological Rhythms; 5; 195.
Schechter, H. & Everitt, D. (1997). The A to Z encyclopedia of serial killers. Pocket Books, NY 10020.
Schechter, H. (2004). The serial killer files. Ballantine Books, New York.
Ertel, S. & Irving, K. (1996). The Tenacious Mars Effect. The Urania Trust.
Vaknin, S., (2003). Malignant Self Love, Narcissism Revisited: the psychology of serial and mass killers. Narcissus Publications.
Waller, L.A. et al., (2003). “Monte Carlo assessments of goodness-of-fit for ecological simulation models”. Ecological modelling 164, 49-63.
Wickenburg, J., (1994). “Sociopathic Personalities / Serial Murders”.
Wilson, C., & Seamen, D., (1992). The Serial Killer. Carol Publishing’s.
Ω
Categorias:Traduções



































